Синус-преобразование Фурье
Материал из Циклопедии
Перейти к навигации
Перейти к поиску
Синус-преобразование Фурье
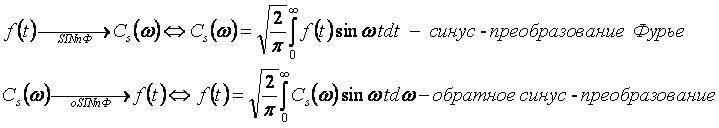
— это операция перевода одной функции
f(t)
в другую
C
s
(ω)
.
Содержание
1
Формулы:
2
Примеры:
3
Другие преобразования:
4
Литература
5
Ссылки
Формулы:
[
править
]
Примеры:
[
править
]
Другие преобразования:
[
править
]
преобразование Фурье
;
синус-преобразование Фурье
;
косинус-преобразование Фурье
;
преобразование Лапласа
.
Литература
[
править
]
Корн Г., Корн Т. Справочник по математике для научных работников и инженеров. М.: Наука, 1970.
Ссылки
[
править
]
Участник:Logic-samara
Категория
:
Математический анализ
Навигация
Персональные инструменты
Вы не представились системе
Обсуждение
Вклад
Создать учётную запись
Войти
Пространства имён
Статья
Обсуждение
русский
Просмотры
Читать
Править
История
Ещё
Поиск
Навигация
Помочь Циклопедии
Сообщить об ошибке
Форум
Справка
FAQ
Формат статей
Качественные статьи
Случайная страница
Новые страницы
Свежие правки
Инструменты
Ссылки сюда
Связанные правки
Служебные страницы
Версия для печати
Постоянная ссылка
Сведения о странице