Система управления запасами с постоянным спросом

Материал из Циклопедии
Перейти к навигации Перейти к поиску
Математическая модель СУЗ с постоянным спросом

Система управления запасами с постоянным спросом — это система, в которой есть поток спроса с постоянной интенсивностью μ и поток поставок запасов с интенсивностью λ.

Графическая модель[править]

СУЗ03.JPG

Динамическая модель[править]

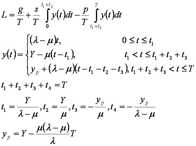
Динамика изменения запаса за один производственный цикл описывается дифференциальным уравнением:

Соотношения модели имеют вид: СУЗ02.JPG

Обозначения[править]

Параметры модели:

Y – предельный запас на складе;

T – время производственного цикла на складе;

L – затраты в единицу времени;

g - фиксированные расходы, связанные с запуском производства;

s – стоимость хранения запаса;

p – штраф за дефицит;

λ – интенсивность поставок;

μ – интенсивность спроса;

t1 – время пополнения запаса на складе;

t2 – время расхода запаса на складе;

t3 – время расхода в условиях дефицита на складе;

t4 – время пополнения дефицита на складе;

yp – предельный дефицит на складе;

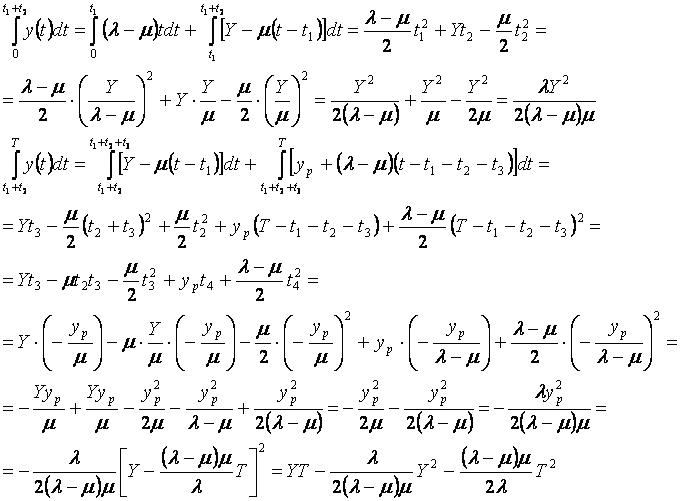
Приведём формулы основных интегралов:

СУЗ08.JPG

Учитывая формулы основных интегралов, получаем следующий вид математической модели.

Математическая модель[править]

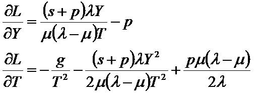
Для оптимизации модели необходимо найти частные производные и приравнять их нулю: СУЗ11.JPG

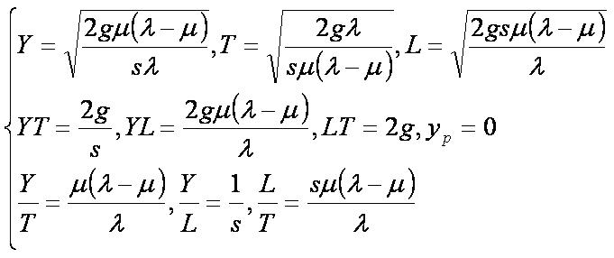
Решая систему, получаем: СУЗ12.JPG

Для оптимального решения верны следующие соотношения: СУЗ14.PNG

Рассмотрим различные варианты модели.

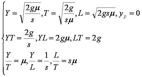
Формулы при высокой интенсивности восполнения запаса[править]

При высокой интенсивности восполнения запаса (при λ→∞) получаем формулы и следующие соотношения:

СУЗ17.JPG

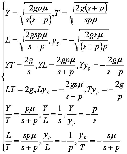
Формулы при высоком штрафе[править]

При высоком штрафе (при p→∞) получаем формулы (приводимые у Хэнссменна) и следующие соотношения:

СУЗ18.JPG

Формулы Вильсона[править]

При высоком штрафе (при p→∞) и высокой интенсивности восполнения запаса (при λ→∞) получаем формулы Вильсона и следующие соотношения:

СУЗ19.JPG

Другие системы:[править]

Литература[править]

  • Рыжиков Ю. И. Управление запасами — М.: «Наука», 1969, стр.84-87.

Ссылки[править]