Темп роста

Материал из Циклопедии
Перейти к навигации Перейти к поиску

Темп роста — положительное число, характеризующее рост показателя в относительных единицах.

Рассчитывается как отношение значений показателя (уровней). При умножении на 100% измеряется в процентах.

Обозначения:[править]

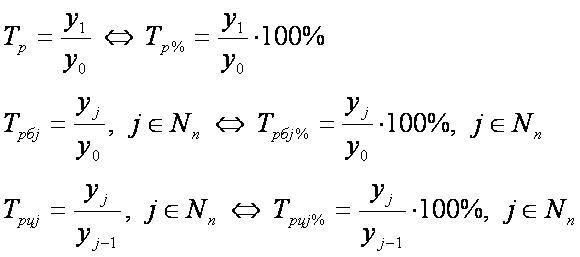
n — число анализируемых (отчётных) периодов (или моментов времени);

j — индекс (номер) периода (или момента времени);

y0 — значение показателя (уровень) в базисном периоде;

yj — значение показателя в j-ом отчётном периоде;

Tр — темп роста в относительных единицах;

Tр% — темп роста в процентах;

Tрбjj-ый базисный темп роста в относительных единицах;

Tрбj%j-ый базисный темп роста в процентах;

Tрцjj-ый цепной темп роста в относительных единицах;

Tрцj%j-ый цепной темп роста в процентах.

Формулы:[править]

ТРО01.JPG

Другие показатели:[править]

Ссылки[править]