Файл:ОНЧОП01.png
Перейти к навигации
Перейти к поиску

Размер этого предпросмотра: 800 × 93 пкс. Другое разрешение: 1229 × 143 пкс.
Исходный файл (1229 × 143 пкс, размер файла: 8 Кб, MIME-тип: image/png)
История файла
Нажмите на дату/время, чтобы увидеть версию файла от того времени.
| Дата/время | Миниатюра | Размеры | Участник | Примечание | |
|---|---|---|---|---|---|
| текущий | 05:23, 30 декабря 2025 | 1229 × 143 (8 Кб) | Logic-samara (обсуждение | вклад) |
Вы не можете перезаписать этот файл.
Использование файла
Следующие 4 страницы используют этот файл:
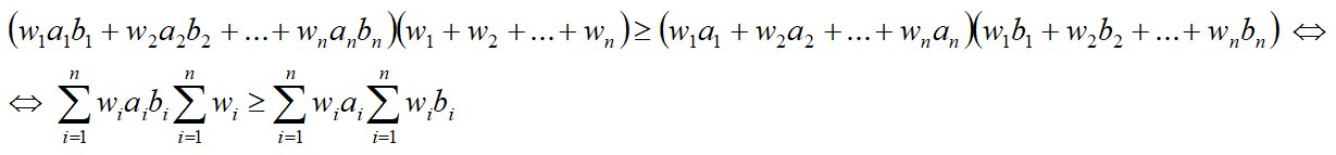
- Доказательство обобщённым неравенством весового неравенства Чебышёва для одномонотонных последовательностей
- Доказательство обобщённым неравенством неравенства Чебышёва для одномонотонных последовательностей
- Метод математической индукции для обобщённого неравенства Чебышёва для одномонотонных последовательностей
- Обобщённое неравенство Чебышёва для одномонотонных последовательностей