Замкнутая одноканальная СМО

Материал из Циклопедии
Перейти к навигации Перейти к поиску
Математическая модель одноканальной СМО замкнутой

Одноканальная СМО замкнутая с очередью — это система массового обслуживания, в которой есть фиксированное число источников заявок. Поток заявок каждого источника имеет одинаковую интенсивность.

Первоначальный поток заявок имеет интенсивность большую в «число источников»-раз, чем поток заявок от одного источника. Каждое поступление заявки, снижает интенсивность входного потока на интенсивность потока от одного источника.

Если заявка приходит, в момент, когда канал свободен, то она немедленно поступает на обслуживание каналом.

Если заявка приходит, в момент, когда канал занят, то она становится в очередь и ожидает освобождения канала, который её может обслужить.

Описание модели[править]

На вход одноканальной СМО с m-очередью поступает поток заявок от (m+1)-источников, причём каждый источник заявок даёт простейший поток заявок с интенсивностью λ.

Интенсивность простейшего потока обслуживания канала μ.

Если заявка застаёт канал свободным, то она принимается на обслуживание и обслуживается каналом.

После окончания обслуживания один канал освобождается.

Если заявка застаёт канал занятым, то она становится в очередь и «терпеливо» ждёт своего обслуживания.

Дисциплина очереди естественная: кто раньше пришёл, тот раньше и обслуживается.

Максимальное число мест в очереди m.

Каждое поступление заявки, снижает интенсивность входного потока на поток от одного источника.

Состояние рассмотренной системы будем связывать с числом заявок, находящихся в системе.

Граф состояний[править]

СМО411.PNG

Рассмотрим множество состояний системы:

S0 – в системе нет ни одной заявки, канал свободен;

S1 – в системе имеется одна заявка, она обслуживается каналом;

S2 – в системе имеется две заявки, одна обслуживается каналом, а другая заявка ожидает в очереди;

;

Sr – в системе имеется r-заявок, одна обслуживается каналом, а (r-1)-заявок ожидают в очереди;

Sr+1 – в системе имеется (r+1)-заявок, одна обслуживается каналом, а r-заявок ожидают в очереди;

;

Sm – в системе имеется m-заявок, одна обслуживается каналом, а (m-1)-заявок ожидают в очереди;

Sm+1 – в системе имеется (m+1)-заявок, одна обслуживается каналом, а m-заявок ожидают в очереди;

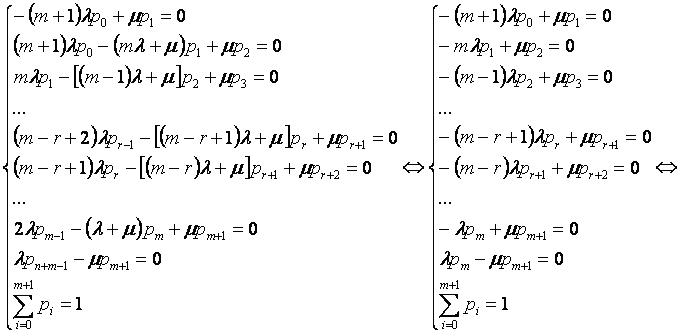
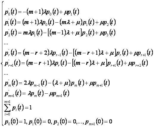
Система дифференциальных уравнений[править]

Система дифференциальных уравнений, описывающих поведение системы, имеет вид:

СМО421.PNG

Рассмотрим стационарный режим работы системы (при t→∞).

Система уравнений принимает вид:

СМО431.PNG

Суммируя в системе уравнения с первого до i-го (i=1,m+1), получаем упрощённый вид системы.

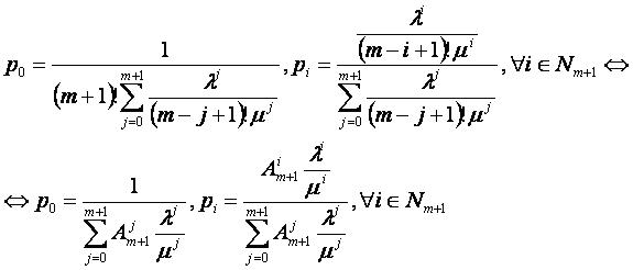
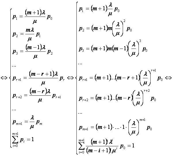
Решим систему относительно p0,p1,…,pm+1.

СМО441.JPG

СМО451.JPG

В результате получаем решение системы:

СМО461.PNG

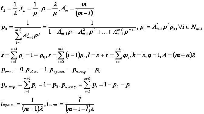
Основные характеристики системы[править]

СМО481.PNG

Другие одноканальные СМО:[править]

Литература[править]

  • Овчаров Л. А. Прикладные задачи теории массового обслуживания, М.,1969.

Ссылки[править]