СМО замкнутая n-канальная с m-очередью
СМО замкнутая n-канальная с m-очередью — это система массового обслуживания, в которой есть n-каналов, m-мест в очереди, (n+m)-источников заявок. Поток заявок каждого источника имеет одинаковую интенсивность. Первоначальный поток заявок имеет интенсивность большую в (n+m)-раз, чем поток заявок от одного источника. Каждое поступление заявки, снижает интенсивность входного потока на интенсивность потока от одного источника. Если заявка приходит, в момент, когда все каналы свободны, то она немедленно поступает на обслуживание одним любым каналом. Если заявка приходит, в момент, когда свободен хотя бы один канал, то она немедленно поступает на обслуживание одним из свободных каналов. Если заявка приходит, в момент, когда все каналы заняты, то она становится в очередь и ожидает освобождения канала, который её может обслужить. Максимальное число заявок в системе равно сумме числа каналов и мест в очереди.
Обозначения[править]
n — число каналов обслуживания;
m — число мест в очереди;
λ — интенсивность простейшего потока заявок;
μ — интенсивность простейшего потока обслуживания.
Описание модели[править]
На вход n-канальной СМО с m-очередью поступает поток заявок от (n+m)-источников, причём каждый источник заявок даёт простейший поток заявок с интенсивностью λ.
Интенсивность простейшего потока обслуживания каждого канала μ.
Если заявка застаёт все каналы свободными, то она принимается на обслуживание и обслуживается одним из n каналов.
После окончания обслуживания один канал освобождается.
Если вновь прибывшая заявка застаёт в системе свободным хотя бы один канал, то она принимается на обслуживание одним из свободных каналов и обслуживается до конца.
Если заявка застаёт все каналы занятыми, то она становится в очередь и «терпеливо» ждёт своего обслуживания.
Дисциплина очереди естественная: кто раньше пришёл, тот раньше и обслуживается. Максимальное число мест в очереди m.
Каждое поступление заявки, снижает интенсивность входного потока на поток от одного источника.
Состояние рассмотренной системы будем связывать с числом заявок, находящихся в системе.
Граф состояний[править]
М/М/n/m/n+m — СМО замкнутая n-канальная с m-очередью.
Рассмотрим множество состояний системы:
S0 — в системе нет ни одной заявки, все каналы свободны, (n+m)-источников заявок;
S1 — в системе имеется 1-заявка, она обслуживается 1-каналом, (n+m-1)-источников заявок;
S2 — в системе имеется 2-заявки, они обслуживаются 2-каналами, (n+m-2)-источников заявок;
…;
Sn-1 — в системе имеется (n-1)-заявок, они обслуживаются (n-1)-каналами, (m+1)-источников заявок;
Sn — в системе имеется n-заявок, они обслуживаются n-каналами, очереди нет, m-источников заявок;
Sn+1 — в системе имеется (n+1)-заявок, n из них обслуживаются n-каналами, а 1-заявка в очереди, (m-1)-источников заявок;
…;
Sn+m-2 — в системе имеется (n+m-2)-заявок, n из них обслуживаются n-каналами, а (m-2)-заявок в очереди, 2-источника заявок;
Sn+m-1 — в системе имеется (n+m-1)-заявок, n из них обслуживаются n-каналами, а (m-1)-заявок в очереди, 1-источник заявок;
Sn+m — в системе имеется (n+m)-заявок, n из них обслуживаются n-каналами, а m-заявок в очереди, источников заявок нет;
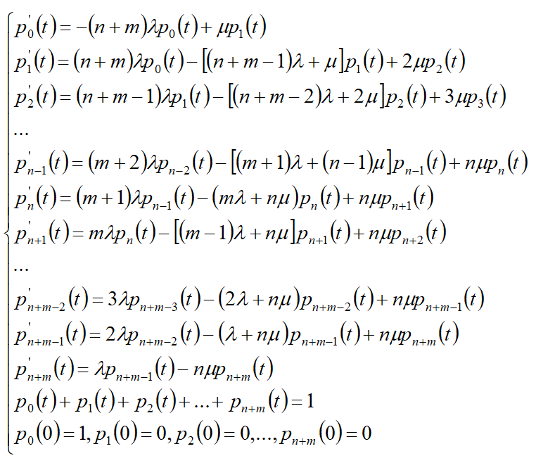
Система дифференциальных уравнений[править]
Система дифференциальных уравнений, описывающих поведение системы, имеет вид:
Рассмотрим стационарный режим работы системы (при t→∞).
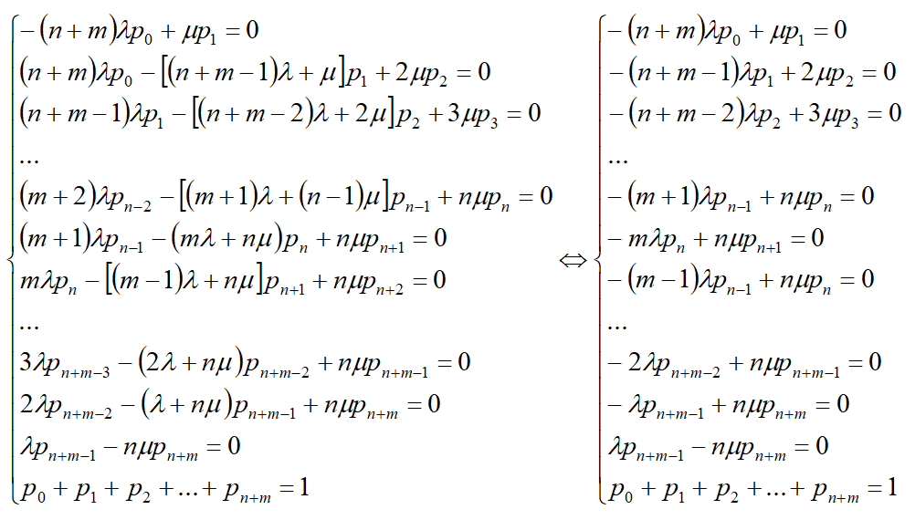
Система линейных уравнений[править]
Система уравнений принимает вид:
Суммируя в системе уравнения с первого до i-го (i=1,n+m), получаем упрощённый вид системы.
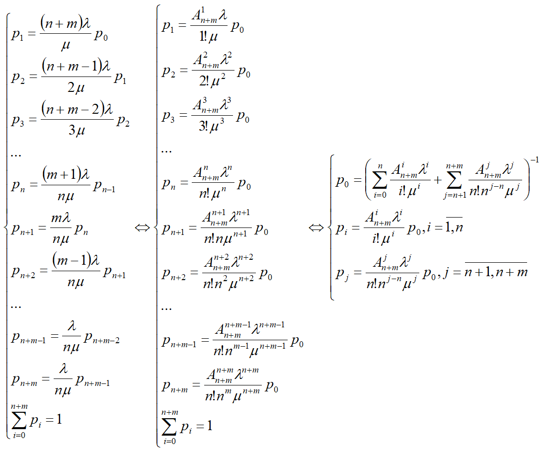
Решение системы линейных уравнений[править]
Решим систему относительно p0,p1,p2,…,pn+m.
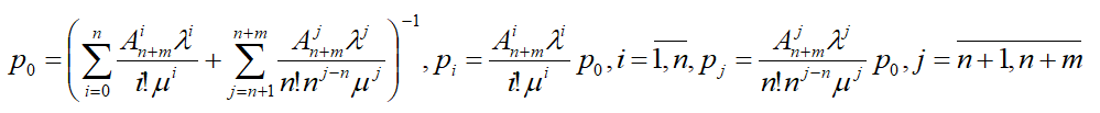
В результате получаем решение системы:
- Заметим, что при n>0,m>0,λi-1=(n+m-i+1)λ,μi=iμ,i=1,n,λj-1=(n+m-j+1)λ,μj=nμ,j=n+1,n+m система массового обслуживания становится СМО замкнутой n-канальной с m-очередью.
Основные характеристики системы[править]
- Заметим, что при n=1 СМО замкнутая n-канальная с m-очередью становится одноканальной.
Другие СМО:[править]
- СМО n-канальная без очереди;
- СМО n-канальная без очереди и с ограниченным временем обслуживания;
- СМО n-канальная без очереди и со случайным результатом обслуживания;
- СМО n-канальная без очереди и со случайным выбором канала;
- СМО n-канальная без очереди и с взаимопомощью;
- СМО n-канальная без очереди и с частичной взаимопомощью;
- СМО n-канальная с m-очередью;
- СМО n-канальная с m-очередью и с ограниченным временем обслуживания;
- СМО n-канальная с m-очередью и со случайным результатом обслуживания;
- СМО n-канальная с m-очередью и с ограниченным временем ожидания;
- СМО n-канальная с m-очередью и с ограниченным временем обслуживания и ожидания;
- СМО n-канальная с m-очередью и с взаимопомощью;
- СМО n-канальная с m-очередью и с частичной взаимопомощью;
- СМО n-канальная с бесконечной очередью;
- СМО n-канальная с бесконечной очередью и с убывающим потоком заявок;
- СМО с бесконечным числом каналов;
- СМО с бесконечным числом каналов и с ограниченным временем обслуживания;
- СМО замкнутая n-канальная без очереди;
- СМО замкнутая n-канальная без очереди и с взаимопомощью;
- СМО замкнутая n-канальная без очереди и с частичной взаимопомощью;
- СМО замкнутая n-канальная без очереди и с k-источниками;
- СМО замкнутая n-канальная без очереди, с k-источниками и с взаимопомощью;
- СМО замкнутая n-канальная без очереди, с k-источниками и с частичной взаимопомощью;
- СМО замкнутая n-канальная с m-очередью;
- СМО замкнутая n-канальная с m-очередью и с взаимопомощью;
- СМО замкнутая n-канальная с m-очередью и с частичной взаимопомощью;
- СМО замкнутая n-канальная с m-очередью и с k-источниками;
- СМО замкнутая n-канальная с m-очередью, с k-источниками и с взаимопомощью;
- СМО замкнутая n-канальная с m-очередью, с k-источниками и с частичной взаимопомощью.
Ссылки[править]
- Овчаров Л. А. Прикладные задачи теории массового обслуживания, М.,1969,стр.275-286.



