СМО n-канальная с m-очередью и с ограниченным временем обслуживания и ожидания
СМО n-канальная с m-очередью и с ограниченным временем обслуживания и ожидания — это система массового обслуживания, в которой "нетерпеливая" заявка может уйти из очереди, не дождавшись обслуживания, или прервать обслуживание, не дождавшись окончания. Максимальное число заявок в системе равно сумме числа каналов и мест в очереди.
Обозначения[править]
n – число каналов обслуживания;
m – число мест в очереди;
λ – интенсивность простейшего потока заявок;
μ – интенсивность простейшего потока обслуживания;
η – интенсивность простейшего потока уходов заявки с обслуживания;
ν – интенсивность простейшего потока уходов заявки из очереди.
Описание модели[править]
Если заявка приходит, в момент, когда все каналы свободны, то она обслуживается любым каналом, который её может обслужить. При этом заявка проявляет «нетерпение».
Если заявка застаёт все каналы занятыми, то она становится в очередь и "нетерпеливо" (в пределах ограниченного времени ожидания) ждёт своего обслуживания, иначе заявка уходит из очереди и исключается из обслуживания.
Дисциплина очереди естественная: кто раньше пришёл, тот раньше и обслуживается. Максимальное число мест в очереди m.
Если вновь прибывшая заявка застаёт в очереди m-заявок, то она получает отказ и исключается из обслуживания.
Состояние рассмотренной системы будем связывать с числом заявок, находящихся в системе.
Граф состояний[править]
М/М/n/m – СМО n-канальная с m-очередью и с ограниченным временем обслуживания и ожидания.
Рассмотрим множество состояний системы:
S0 – в системе нет ни одной заявки, все каналы свободны;
S1 – в системе имеется 1-заявка, она обслуживается 1-каналом, проявляя "нетерпение";
S2 – в системе имеется 2-заявки, они обслуживаются 2-каналами, проявляя "нетерпение";
…;
Sn-1 – в системе имеется (n-1)-заявок, они обслуживаются (n-1)-каналами, проявляя "нетерпение";
Sn – в системе имеется n-заявок, они обслуживаются n-каналами, проявляя "нетерпение", очереди нет;
Sn+1 – в системе имеется (n+1)-заявок, n из них обслуживаются n-каналами, проявляя "нетерпение", а 1-заявка "нетерпеливо" ожидает в очереди;
…;
Sn+m-2 – в системе имеется (n+m-2)-заявок, n из них обслуживаются n-каналами, проявляя "нетерпение", а (m-2)-заявок "нетерпеливо" ожидают в очереди;
Sn+m-1 – в системе имеется (n+m-1)-заявок, n из них обслуживаются n-каналами, проявляя "нетерпение", а (m-1)-заявок "нетерпеливо" ожидают в очереди;
Sn+m – в системе имеется (n+m)-заявок, n из них обслуживаются n-каналами, проявляя "нетерпение", а m-заявок "нетерпеливо" ожидают в очереди;
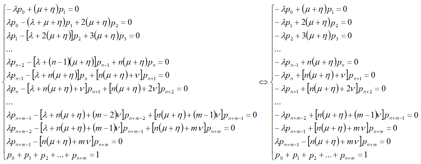
Система дифференциальных уравнений[править]
Система дифференциальных уравнений, описывающих поведение системы, имеет вид:
Рассмотрим стационарный режим работы системы (при t→∞).
Система линейных уравнений[править]
Система уравнений принимает вид:
Суммируя в системе уравнения с первого до i-го (i=1,n+m), получаем упрощённый вид системы.
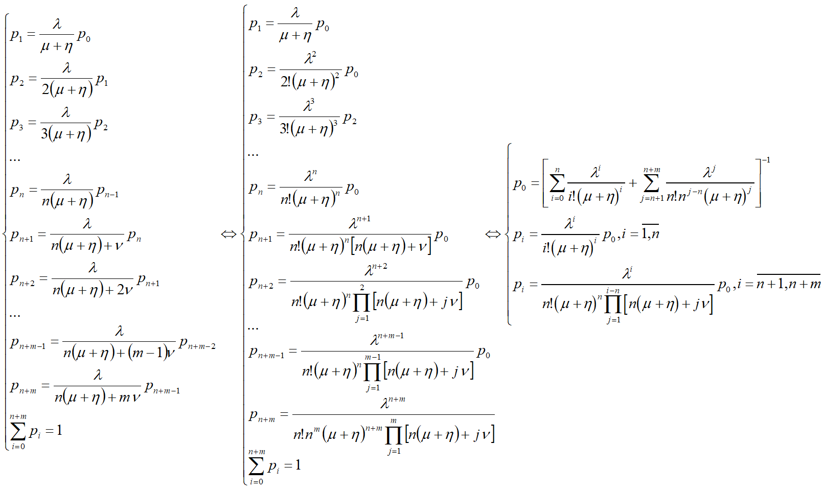
Решение системы линейных уравнений[править]
Решим систему относительно p0,p1,p2,…,pn+m.
В результате получаем решение системы:
- Заметим, что СМО n-канальная с m-очередью и с ограниченным временем обслуживания и ожидания имеет вероятности состояний как СМО n-канальная с m-очередью и с ограниченным временем ожидания, но с интенсивностью обслуживания μ+η.
Другие СМО:[править]
- СМО n-канальная без очереди;
- СМО n-канальная без очереди и с ограниченным временем обслуживания;
- СМО n-канальная без очереди и со случайным результатом обслуживания;
- СМО n-канальная без очереди и со случайным выбором канала;
- СМО n-канальная без очереди и с взаимопомощью;
- СМО n-канальная без очереди и с частичной взаимопомощью;
- СМО n-канальная с m-очередью;
- СМО n-канальная с m-очередью и с ограниченным временем обслуживания;
- СМО n-канальная с m-очередью и со случайным результатом обслуживания;
- СМО n-канальная с m-очередью и с ограниченным временем ожидания;
- СМО n-канальная с m-очередью и с ограниченным временем обслуживания и ожидания;
- СМО n-канальная с m-очередью и с взаимопомощью;
- СМО n-канальная с m-очередью и с частичной взаимопомощью;
- СМО n-канальная с бесконечной очередью;
- СМО n-канальная с бесконечной очередью и с убывающим потоком заявок;
- СМО с бесконечным числом каналов;
- СМО с бесконечным числом каналов и с ограниченным временем обслуживания;
- СМО замкнутая n-канальная без очереди;
- СМО замкнутая n-канальная без очереди и с взаимопомощью;
- СМО замкнутая n-канальная без очереди и с частичной взаимопомощью;
- СМО замкнутая n-канальная без очереди и с k-источниками;
- СМО замкнутая n-канальная без очереди, с k-источниками и с взаимопомощью;
- СМО замкнутая n-канальная без очереди, с k-источниками и с частичной взаимопомощью;
- СМО замкнутая n-канальная с m-очередью;
- СМО замкнутая n-канальная с m-очередью и с взаимопомощью;
- СМО замкнутая n-канальная с m-очередью и с частичной взаимопомощью;
- СМО замкнутая n-канальная с m-очередью и с k-источниками;
- СМО замкнутая n-канальная с m-очередью, с k-источниками и с взаимопомощью;
- СМО замкнутая n-канальная с m-очередью, с k-источниками и с частичной взаимопомощью.
Ссылки[править]
- Овчаров Л.А. Прикладные задачи теории массового обслуживания, «Машиностроение», М.,1969,стр.219-231.



