СМО с бесконечным числом каналов и с ограниченным временем обслуживания
СМО с бесконечным числом каналов и с ограниченным временем обслуживания — это система массового обслуживания, в которой любая заявка немедленно обслуживается любым одним каналом. При обслуживании заявки проявляют «нетерпение».
Обозначения[править]
n – число каналов обслуживания;
m – число мест в очереди;
λ – интенсивность простейшего потока заявок;
μ – интенсивность простейшего потока обслуживания;
η – интенсивность простейшего потока уходов заявки с обслуживания.
Описание модели[править]
На вход СМО с бесконечным числом каналов поступает простейший поток заявок с интенсивностью λ.
Интенсивность простейшего потока обслуживания каждого канала μ.
Если заявка застаёт все каналы свободными, она принимается на обслуживание и обслуживается любым одним из каналов . При этом заявка проявляет «нетерпение».
Если заявка застаёт занятым хотя бы один канал, то она принимается на обслуживание любым из свободных каналов и обслуживается, проявляя «нетерпение».
После окончания обслуживания одной заявки освобождается один канал.
Состояние рассмотренной системы будем связывать с числом заявок, находящихся в системе.
Граф состояний[править]
М/М/∞ – СМО с бесконечным числом каналов и с ограниченным временем обслуживания.
Рассмотрим множество состояний системы:
S0 – в системе нет ни одной заявки, все каналы свободны;
S1 – в системе имеется 1-заявка, она обслуживается 1-каналом;
S2 – в системе имеется 2-заявки, они обслуживается 2-каналами;
…;
Si-1 – в системе имеется (i-1)-заявок, они обслуживаются (i-1)-каналами;
Si – в системе имеется i-заявок, они обслуживаются i-каналами;
Si+1 – в системе имеется (i+1)-заявок, они обслуживаются (i+1)-каналами;
….
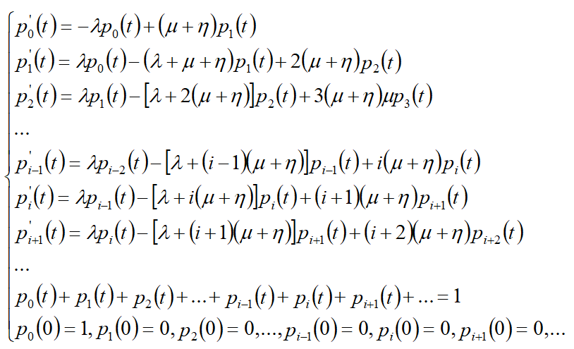
Система дифференциальных уравнений[править]
Система дифференциальных уравнений, описывающих поведение системы, имеет вид:
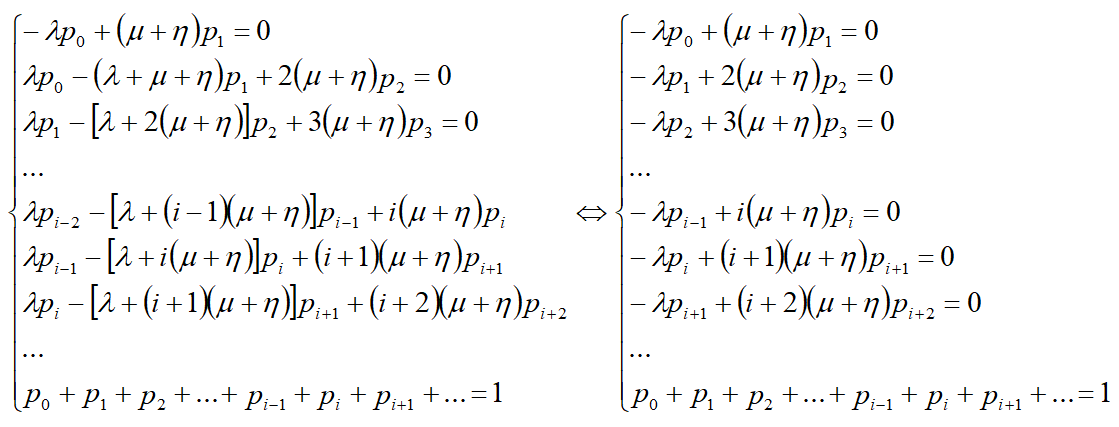
Рассмотрим стационарный режим работы системы (при t→∞).
Система линейных уравнений[править]
Система уравнений принимает вид:
Суммируя в системе уравнения с первого до i-го (i=1,∞), получаем упрощённый вид системы.
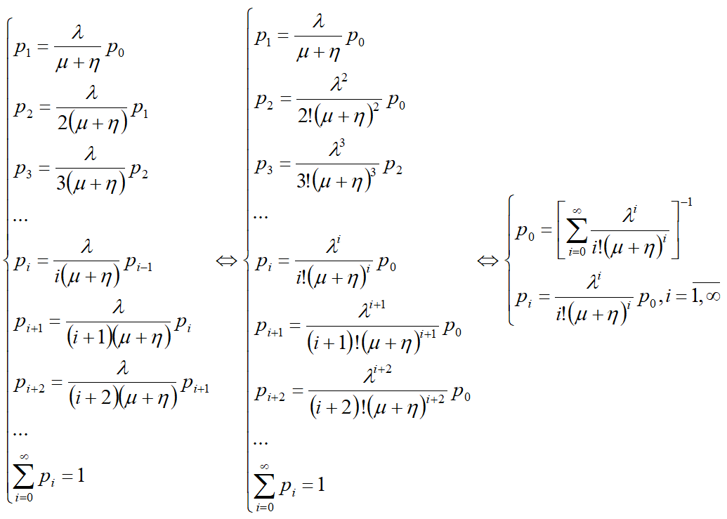
Решение системы линейных уравнений[править]
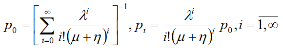
Решим систему относительно p0,p1,p2,…,pi-1,pi,pi+1,….
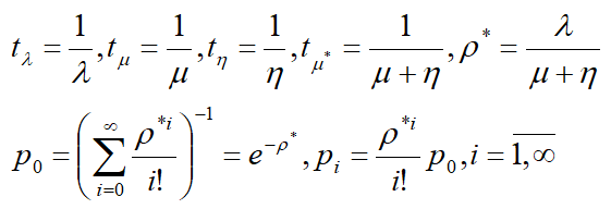
В результате получаем решение системы:
- Заметим, что при n→∞,m=0,λi-1=λ,μi=i(μ+ η),i=1,∞ система массового обслуживания становится СМО с бесконечным числом каналов и с ограниченным временем обслуживания.
Основные характеристики системы[править]
Другие СМО:[править]
- СМО n-канальная без очереди;
- СМО n-канальная без очереди и с ограниченным временем обслуживания;
- СМО n-канальная без очереди и со случайным результатом обслуживания;
- СМО n-канальная без очереди и со случайным выбором канала;
- СМО n-канальная без очереди и с взаимопомощью;
- СМО n-канальная без очереди и с частичной взаимопомощью;
- СМО n-канальная с m-очередью;
- СМО n-канальная с m-очередью и с ограниченным временем обслуживания;
- СМО n-канальная с m-очередью и со случайным результатом обслуживания;
- СМО n-канальная с m-очередью и с ограниченным временем ожидания;
- СМО n-канальная с m-очередью и с ограниченным временем обслуживания и ожидания;
- СМО n-канальная с m-очередью и с взаимопомощью;
- СМО n-канальная с m-очередью и с частичной взаимопомощью;
- СМО n-канальная с бесконечной очередью;
- СМО n-канальная с бесконечной очередью и с убывающим потоком заявок;
- СМО с бесконечным числом каналов;
- СМО с бесконечным числом каналов и с ограниченным временем обслуживания;
- СМО замкнутая n-канальная без очереди;
- СМО замкнутая n-канальная без очереди и с взаимопомощью;
- СМО замкнутая n-канальная без очереди и с частичной взаимопомощью;
- СМО замкнутая n-канальная без очереди и с k-источниками;
- СМО замкнутая n-канальная без очереди, с k-источниками и с взаимопомощью;
- СМО замкнутая n-канальная без очереди, с k-источниками и с частичной взаимопомощью;
- СМО замкнутая n-канальная с m-очередью;
- СМО замкнутая n-канальная с m-очередью и с взаимопомощью;
- СМО замкнутая n-канальная с m-очередью и с частичной взаимопомощью;
- СМО замкнутая n-канальная с m-очередью и с k-источниками;
- СМО замкнутая n-канальная с m-очередью, с k-источниками и с взаимопомощью;
- СМО замкнутая n-канальная с m-очередью, с k-источниками и с частичной взаимопомощью.




