СМО n-канальная без очереди
СМО n-канальная без очереди — это система массового обслуживания, в которой есть каналы обслуживания, но нет очереди: если заявка приходит, в момент, когда все каналы свободны, то она немедленно обслуживается любым одним каналом, если заявка приходит - когда уже обслуживаются заявки числом меньше, чем число каналов, то она немедленно обслуживается одним из свободных каналов, иначе если заявка приходит - когда заняты все каналы, то заявка покидает систему (теряется). Максимальное число заявок в системе равно числу каналов.
Обозначения[править]
n – число каналов обслуживания;
m – число мест в очереди;
λ – интенсивность простейшего потока заявок;
μ – интенсивность простейшего потока обслуживания.
Описание модели[править]
На вход n-канальной СМО поступает простейший поток заявок с интенсивностью λ.
Интенсивность простейшего потока обслуживания каждого канала μ.
Если заявка застаёт все каналы свободными, она принимается на обслуживание и обслуживается любым одним из n-каналов.
Если заявка застаёт свободным хотя бы один канал, то она принимается на обслуживание любым из свободных каналов и обслуживается до конца.
Если заявка застаёт все каналы занятыми, то она получает отказ (покидает систему не обслуженной).
После окончания обслуживания одной заявки освобождается один канал.
Состояние рассмотренной системы будем связывать с числом заявок, находящихся в системе.
Граф состояний[править]
М/М/n/0 – СМО n-канальная без очереди (с отказами).
Рассмотрим множество состояний системы:
S0 – в системе нет ни одной заявки, все каналы свободны;
S1 – в системе имеется 1-заявка, она обслуживается 1-каналом;
S2 – в системе имеется 2-заявки, они обслуживается 2-каналами;
…;
Si-1 – в системе имеется (i-1)-заявок, они обслуживаются (i-1)-каналами;
Si – в системе имеется i-заявок, они обслуживаются i-каналами.
Si+1 – в системе имеется (i+1)-заявок, они обслуживаются (i+1)-каналами;
…;
Sn-2 – в системе имеется (n-2)-заявок, они обслуживаются (n-2)-каналами;
Sn-1 – в системе имеется (n-1)-заявок, они обслуживаются (n-1)-каналами;
Sn – в системе имеется n-заявок, они обслуживаются n-каналами.
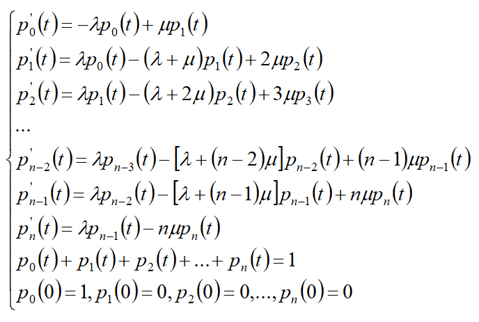
Система дифференциальных уравнений[править]
Система дифференциальных уравнений, описывающих поведение системы, имеет вид:
Рассмотрим стационарный режим работы системы (при t→∞).
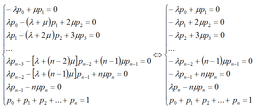
Система линейных уравнений[править]
Система уравнений принимает вид:
Суммируя в системе уравнения с первого до i-го (i=1,n), получаем упрощённый вид системы.
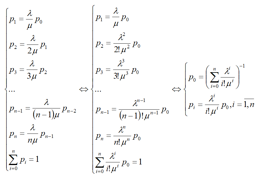
Решение системы линейных уравнений[править]
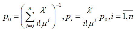
Решим систему относительно p0,p1,p2,…,pn.
В результате получаем решение системы:
- Заметим, что при n>0,m=0,λi-1=λ,μi=iμ,i=1,n система массового обслуживания становится СМО n-канальной без очереди.
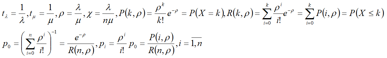
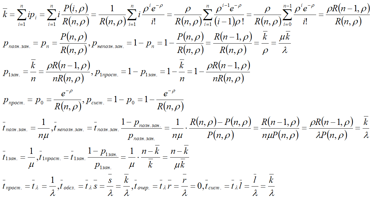
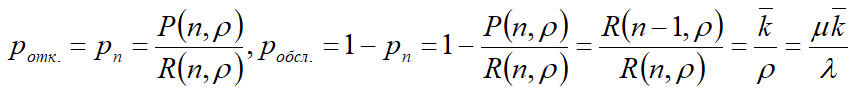
Основные характеристики системы[править]
- Заметим, что при n=1 СМО n-канальная без очереди становится одноканальной.
Другие СМО:[править]
- СМО n-канальная без очереди;
- СМО n-канальная без очереди и с ограниченным временем обслуживания;
- СМО n-канальная без очереди и со случайным результатом обслуживания;
- СМО n-канальная без очереди и со случайным выбором канала;
- СМО n-канальная без очереди и с взаимопомощью;
- СМО n-канальная без очереди и с частичной взаимопомощью;
- СМО n-канальная с m-очередью;
- СМО n-канальная с m-очередью и с ограниченным временем обслуживания;
- СМО n-канальная с m-очередью и со случайным результатом обслуживания;
- СМО n-канальная с m-очередью и с ограниченным временем ожидания;
- СМО n-канальная с m-очередью и с ограниченным временем обслуживания и ожидания;
- СМО n-канальная с m-очередью и с взаимопомощью;
- СМО n-канальная с m-очередью и с частичной взаимопомощью;
- СМО n-канальная с бесконечной очередью;
- СМО n-канальная с бесконечной очередью и с убывающим потоком заявок;
- СМО с бесконечным числом каналов;
- СМО с бесконечным числом каналов и с ограниченным временем обслуживания;
- СМО замкнутая n-канальная без очереди;
- СМО замкнутая n-канальная без очереди и с взаимопомощью;
- СМО замкнутая n-канальная без очереди и с частичной взаимопомощью;
- СМО замкнутая n-канальная без очереди и с k-источниками;
- СМО замкнутая n-канальная без очереди, с k-источниками и с взаимопомощью;
- СМО замкнутая n-канальная без очереди, с k-источниками и с частичной взаимопомощью;
- СМО замкнутая n-канальная с m-очередью;
- СМО замкнутая n-канальная с m-очередью и с взаимопомощью;
- СМО замкнутая n-канальная с m-очередью и с частичной взаимопомощью;
- СМО замкнутая n-канальная с m-очередью и с k-источниками;
- СМО замкнутая n-канальная с m-очередью, с k-источниками и с взаимопомощью;
- СМО замкнутая n-канальная с m-очередью, с k-источниками и с частичной взаимопомощью.
Ссылки[править]
- Овчаров Л.А. Прикладные задачи теории массового обслуживания, «Машиностроение», М.,1969, стр.104-113.
- Л.Клейнрок. Теория массового обслуживания, «Машиностроение», М.,1979,стр.122-123.






