СМО замкнутая n-канальная без очереди, с k-источниками и с частичной взаимопомощью
СМО замкнутая n-канальная без очереди, с k-источников и с частичной взаимопомощью — это система массового обслуживания, в которой есть n-каналов и k-источников заявок. Поток заявок каждого источника имеет одинаковую интенсивность. Первоначальный поток заявок имеет интенсивность большую в k-раз, чем поток заявок от одного источника. Каждое поступление заявки, снижает интенсивность входного потока на интенсивность потока от одного источника. Если заявка приходит, в момент, когда все каналы свободны, то она немедленно поступает на обслуживание одной группой каналов. Если заявка приходит, в момент, когда свободна хотя бы одна группа, то она немедленно поступает на обслуживание свободной группой каналов. Если заявка приходит, в момент, когда все группы каналов заняты, но число занятых каналов меньше n,то каналы перераспределяются по заявкам. Если число заявок равно числу каналов, то новые заявки теряются. Максимальное число заявок в системе равно числу каналов.
Обозначения[править]
n – число каналов обслуживания;
m – число мест в очереди;
l – число каналов обслуживания в группе;
k – число источников заявок;
h – число полноценных групп каналов обслуживания, h=[n/l] ;
λ – интенсивность простейшего потока заявок;
μ – интенсивность простейшего потока обслуживания.
Описание модели[править]
На вход n-канальной СМО с m-очередью поступает простейший поток заявок с интенсивностью λ. Интенсивность простейшего потока обслуживания каждого канала μ.
Интенсивность потока обслуживания с частичной взаимопомощью между каналами равна lμ.
Если заявка застаёт все каналы свободными, она принимается на обслуживание и обслуживается группой из l-каналов одновременно, при этом производительность увеличивается в l-раз.
После окончания обслуживания все каналы освобождаются одновременно.
Если вновь прибывшая заявка застаёт в системе одну заявку, то она принимается на обслуживание: l-каналов обслуживает первую заявку, другие l-каналов приступает к обслуживанию второй заявки. Разделение групп совершенно произвольное.
Если система обслуживает i-заявок и i<h, то вновь прибывшая заявка принимается на обслуживание l-каналами из оставшихся.
Если система обслуживает i-заявок и hl<=il<n, то вновь прибывшая заявка принимается на обслуживание и n-каналов распределяется равномерно между заявками.
Попавшая на обслуживание заявка обслуживается до конца (заявки терпеливые).
Если обслуживание какой-либо заявки окончено, то освободившаяся группа каналов присоединяется к обслуживанию остальных заявок, находящихся в системе.
Если система обслуживает n-заявок (i=n), то каждая из них обслуживается одним каналом, а вновь прибывшая заявка получает отказ и исключается из обслуживания.
Состояние рассмотренной системы будем связывать с числом заявок, находящихся в системе. Каждое поступление заявки, снижает интенсивность входного потока на поток от одного источника.
Граф состояний[править]
М/М/n/0/k – СМО замкнутая n-канальная без очереди, с k-источников и с частичной взаимопомощью.
Рассмотрим множество состояний системы:
S0 – в системе нет ни одной заявки, все каналы свободны, k-источников заявок;
S1 – в системе имеется 1-заявка, она обслуживается l-каналами, (k-1)-источников заявок;
S2 – в системе имеется 2-заявки, они обслуживаются 2l-каналами, (k-2)-источников заявок;
…;
Sh-1 – в системе имеется (h-1)-заявок, они обслуживаются (h-1)l-каналами, (k-h+1)-источников заявок;
Sh – в системе имеется h-заявок, они обслуживаются hl-каналами, очереди нет, (k-h)-источников заявок;
Sh+1 – в системе имеется (h+1)-заявок, они обслуживаются n-каналами, (k-h-1)-источников заявок;
…;
Sn-2 – в системе имеется (n-2)-заявок, n из них обслуживаются n-каналами, (k-n+2)-источников заявок;
Sn-1 – в системе имеется (n-1)-заявок, n из них обслуживаются n-каналами, (k-n+1)-источников заявок;
Sn – в системе имеется (n)-заявок, n из них обслуживаются n-каналами, (k-n)-источников заявок игнорируются.
Система дифференциальных уравнений[править]
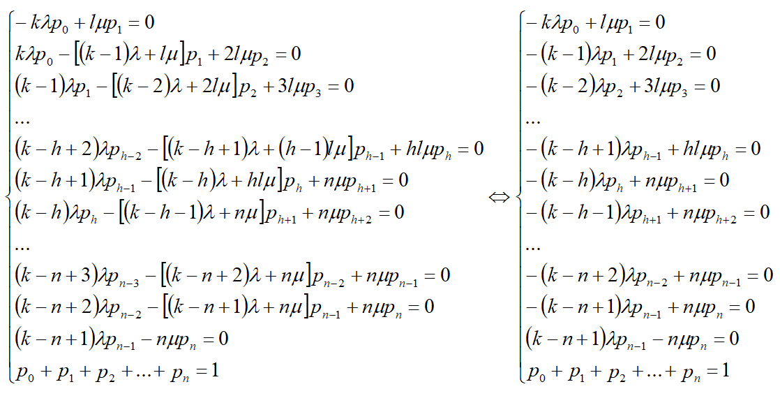
Система дифференциальных уравнений, описывающих поведение системы, имеет вид:
Рассмотрим стационарный режим работы системы (при t→∞).
Система линейных уравнений[править]
Система уравнений принимает вид:
Суммируя в системе уравнения с первого до i-го (i=1,n), получаем упрощённый вид системы.
Решение системы линейных уравнений[править]
Решим систему относительно p0,p1,p2,…,pn.
В результате получаем решение системы:
- Заметим, что при n>l>0,m=0,λi-1=(k-i+1)λ,μi=ilμ,i=1,h,λj-1=(k-j+1)λ,μj=nμ,j=h+1,n система массового обслуживания становится СМО замкнутой n-канальной без очереди, с k-источниками и с частичной взаимопомощью.
Другие СМО:[править]
- СМО n-канальная без очереди;
- СМО n-канальная без очереди и с ограниченным временем обслуживания;
- СМО n-канальная без очереди и со случайным результатом обслуживания;
- СМО n-канальная без очереди и со случайным выбором канала;
- СМО n-канальная без очереди и с взаимопомощью;
- СМО n-канальная без очереди и с частичной взаимопомощью;
- СМО n-канальная с m-очередью;
- СМО n-канальная с m-очередью и с ограниченным временем обслуживания;
- СМО n-канальная с m-очередью и со случайным результатом обслуживания;
- СМО n-канальная с m-очередью и с ограниченным временем ожидания;
- СМО n-канальная с m-очередью и с ограниченным временем обслуживания и ожидания;
- СМО n-канальная с m-очередью и с взаимопомощью;
- СМО n-канальная с m-очередью и с частичной взаимопомощью;
- СМО n-канальная с бесконечной очередью;
- СМО n-канальная с бесконечной очередью и с убывающим потоком заявок;
- СМО с бесконечным числом каналов;
- СМО с бесконечным числом каналов и с ограниченным временем обслуживания;
- СМО замкнутая n-канальная без очереди;
- СМО замкнутая n-канальная без очереди и с взаимопомощью;
- СМО замкнутая n-канальная без очереди и с частичной взаимопомощью;
- СМО замкнутая n-канальная без очереди и с k-источниками;
- СМО замкнутая n-канальная без очереди, с k-источниками и с взаимопомощью;
- СМО замкнутая n-канальная без очереди, с k-источниками и с частичной взаимопомощью;
- СМО замкнутая n-канальная с m-очередью;
- СМО замкнутая n-канальная с m-очередью и с взаимопомощью;
- СМО замкнутая n-канальная с m-очередью и с частичной взаимопомощью;
- СМО замкнутая n-канальная с m-очередью и с k-источниками;
- СМО замкнутая n-канальная с m-очередью, с k-источниками и с взаимопомощью;
- СМО замкнутая n-канальная с m-очередью, с k-источниками и с частичной взаимопомощью.



