Одноканальная СМО без очереди и с ограниченным временем обслуживания
Одноканальная СМО без очереди и с ограниченным временем обслуживания — это система массового обслуживания, в которой есть один канал обслуживания, но нет очереди: если заявка приходит, в момент, когда канал свободен, то она немедленно обслуживается каналом, если заявка приходит - когда уже обслуживается заявка, то новая заявка покидает систему (теряется). При обслуживании заявка проявляет «нетерпение». Максимальное число заявок в системе равно 1.
Обозначения[править]
n – число каналов обслуживания, n=1;
m – число мест в очереди, m=0;
λ – интенсивность простейшего потока заявок;
μ – интенсивность простейшего потока обслуживания;
η – интенсивность простейшего потока уходов заявки с обслуживания.
Описание модели[править]
На вход одноканальной СМО поступает простейший поток заявок с интенсивностью λ.
Интенсивность простейшего потока обслуживания каждого канала μ.
Если заявка застаёт канал свободным, она принимается на обслуживание и обслуживается каналом. При этом заявка проявляет «нетерпение».
Если заявка застаёт канал занятым, то она получает отказ (покидает систему не обслуженной).
После окончания обслуживания заявки или уходе заявки с обслуживания освобождается канал.
Состояние рассмотренной системы будем связывать с числом заявок, находящихся в системе.
Граф состояний[править]
М/М/1/0 – Одноканальная СМО без очереди и с ограниченным временем обслуживания.
Рассмотрим множество состояний системы:
S0 – в системе нет ни одной заявки, все каналы свободны;
S1 – в системе имеется 1-заявка, она обслуживается 1-каналом.
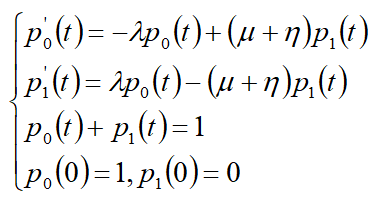
Система дифференциальных уравнений[править]
Система дифференциальных уравнений, описывающих поведение системы, имеет вид:
Рассмотрим стационарный режим работы системы (при t→∞).
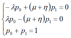
Система линейных уравнений[править]
Система уравнений принимает вид:
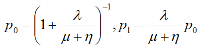
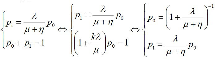
Решение системы линейных уравнений[править]
Решим систему относительно p0,p1.
В результате получаем решение системы:
Другие одноканальные СМО:[править]
- Одноканальная СМО без очереди;
- Одноканальная СМО без очереди и с ограниченным временем обслуживания;
- Одноканальная СМО без очереди и со случайным результатом обслуживания;
- Одноканальная СМО с m-очередью;
- Одноканальная СМО с m-очередью и с ограниченным временем обслуживания;
- Одноканальная СМО с m-очередью и со случайным результатом обслуживания;
- Одноканальная СМО с m-очередью и с ограниченным временем ожидания;
- Одноканальная СМО с m-очередью и с ограниченным временем обслуживания и ожидания;
- Одноканальная СМО с бесконечной очередью;
- Одноканальная СМО с бесконечной очередью и с убывающим потоком заявок;
- Одноканальная СМО замкнутая без очереди;
- Одноканальная СМО замкнутая с m-очередью;
- Одноканальная СМО замкнутая без очереди и с k-источниками;
- Одноканальная СМО замкнутая с m-очередью и с k-источниками.



