Разложение правильной рациональной дроби
Перейти к навигации
Перейти к поиску
Разложение правильной рациональной дроби − представление правильной рациональной дроби в виде простейших рациональных дробей или в виде дробей удобных для интегрирования.
Обозначения[править]
f(x) — дробно-рациональная функция;
fправ(x) — правильная рациональная дробь;
Pn-1(x) — многочлен степени n-1;
Qn(x) — многочлен степени n;
x2+px+q — квадратный трёхчлен;
x-xj — двучлен;
n — степень знаменателя;
n0 — степень x;
n1 — степень x-x1;
n2 — степень x-x2;
n3 — степень x-x3;
n4 — степень x-x4;
m1 — степень 1-го квадратного трёхчлена;
m2 — степень 2-го квадратного трёхчлена;
aj, pj, qj, p, q — коэффициенты.
Разложение на дроби с двучленами в знаменателе[править]
n=2[править]
n0=2*[править]
n0=1, n1=1*[править]
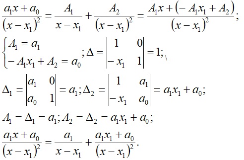
n1=2*[править]
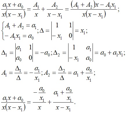
n1=1, n2=1*[править]
n=3[править]
n0=3*[править]
n0=2, n1=1*[править]
n0=1, n1=2*[править]
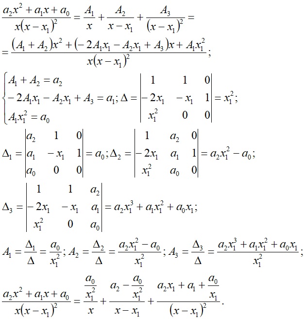
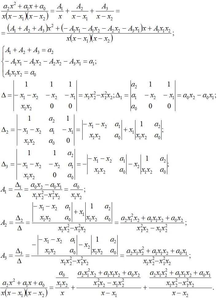
n0=1, n1=1, n2=1*[править]
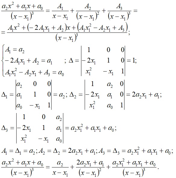
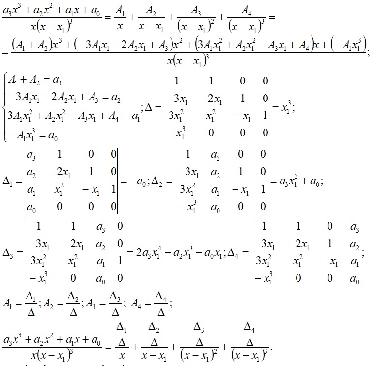
n1=3*[править]
n1=2, n2=1*[править]
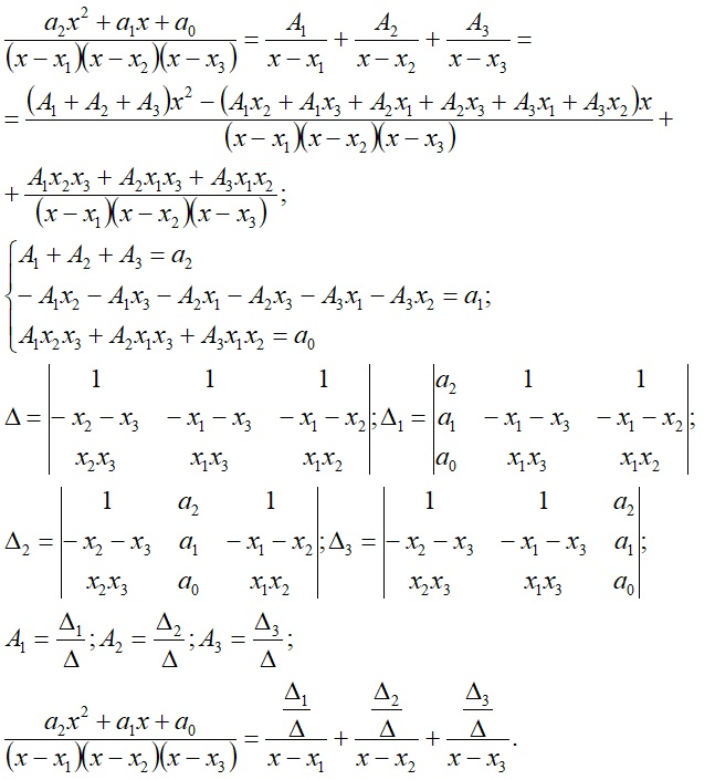
n1=1, n2=1, n3=1*[править]
n=4[править]
n0=4*[править]
n0=3, n1=1*[править]
n0=2, n1=2*[править]
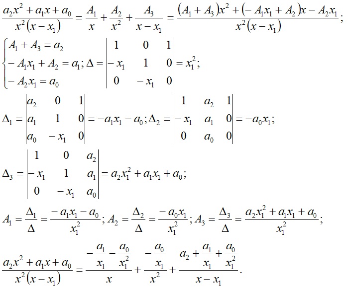
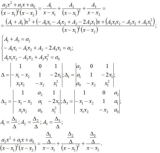
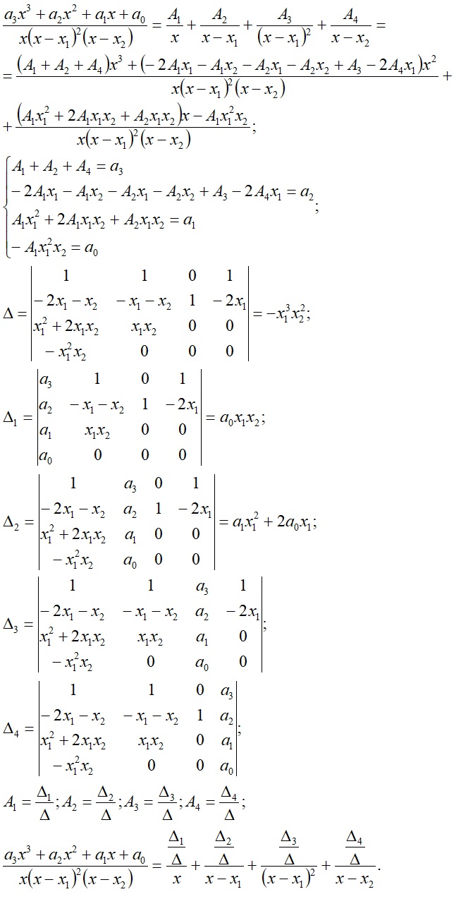
n0=2, n1=1, n2=1*[править]
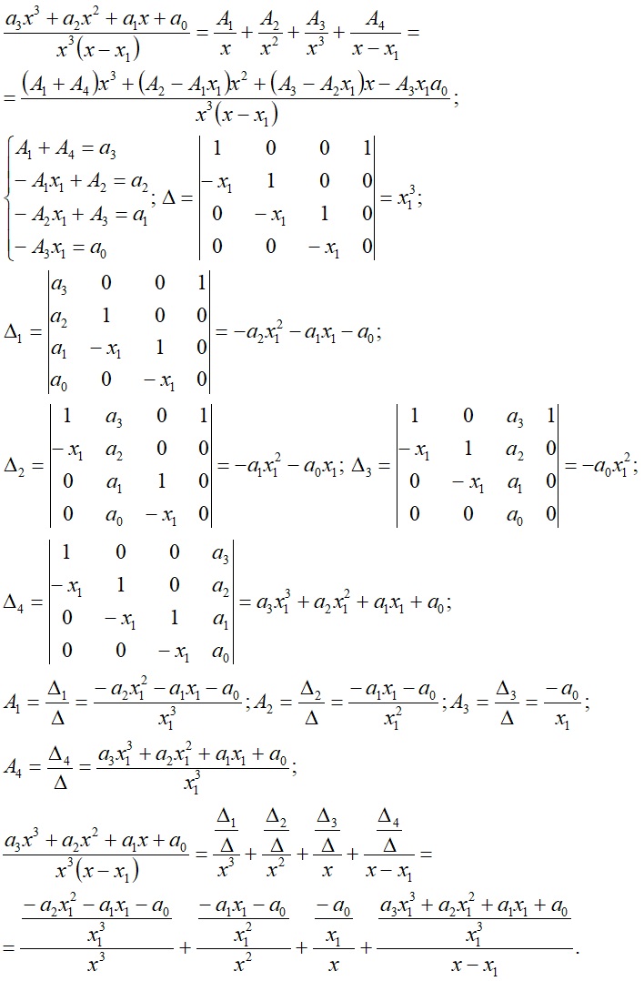
n0=1, n1=3*[править]
n0=1, n1=2, n2=1*[править]
n0=1, n1=1, n2=1, n3=1*[править]
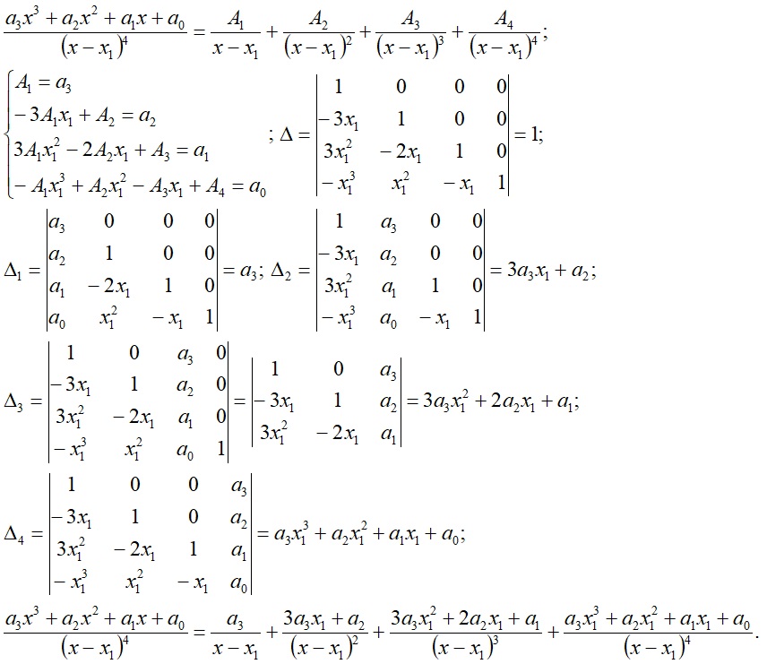
n1=4*[править]
n1=3, n2=1*[править]
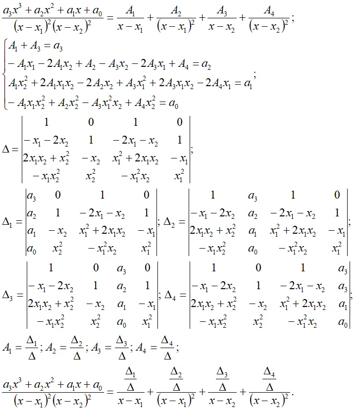
n1=2, n2=2*[править]
n1=2, n2=1, n3=1*[править]
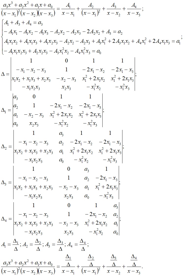
n1=1, n2=1, n3=1, n4=1*[править]
Разложение на дроби с трёхчленами в знаменателе[править]
n=2[править]
m1=1*[править]
n=3[править]
m1=1, n0=1[править]
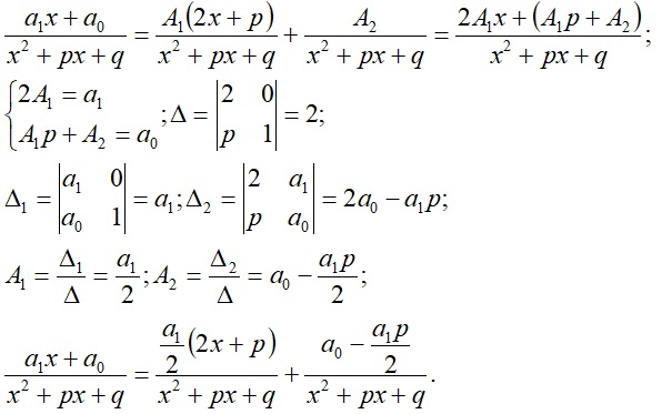
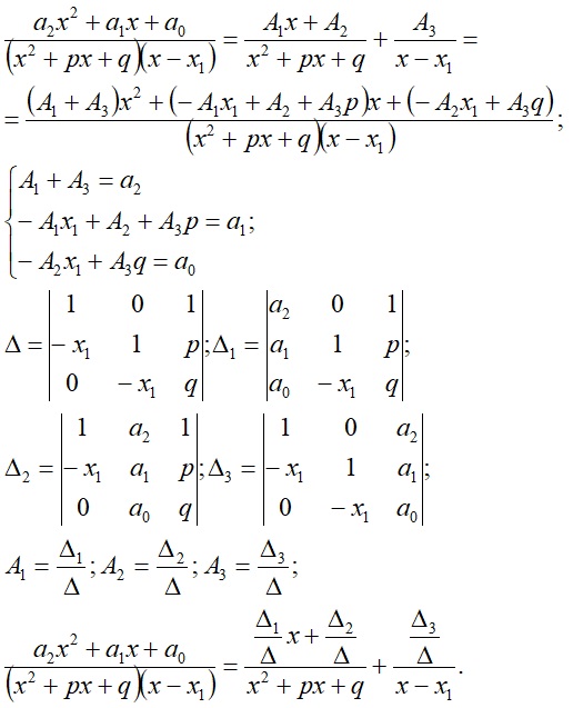
m1=1, n1=1[править]
n=4[править]
m1=2[править]
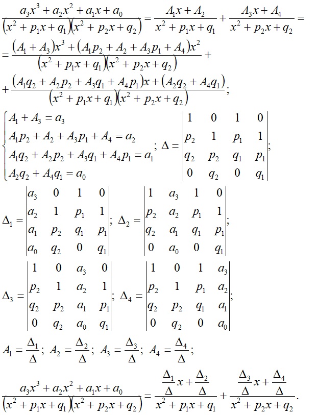
m1=1, m2=1[править]
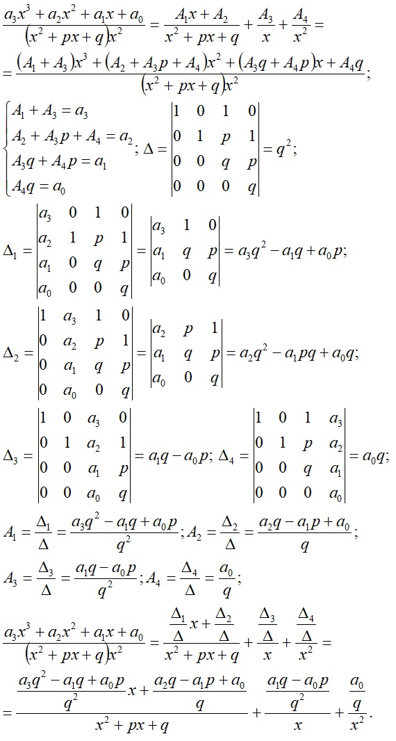
m1=1, n0=2[править]
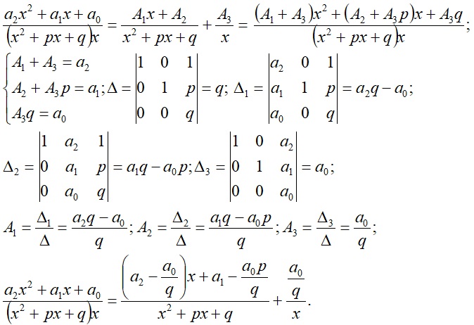
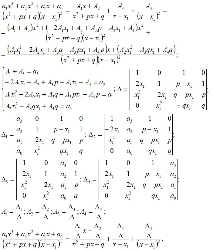
m1=1, n0=1, n1=1[править]
m1=1, n1=2[править]
m1=1, n1=1, n2=1[править]































