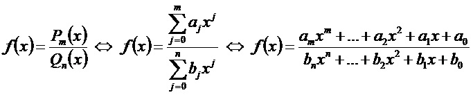
Дробно-рациональная функция

Материал из Циклопедии
Перейти к навигации Перейти к поиску

Дробно-рациональная функция — функция, равная отношению двух многочленов.

Обозначения[править]

f(x) — дробно-рациональная функция;

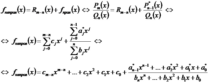
fправ(x) — правильная рациональная дробь;

fнеправ(x) — неправильная рациональная дробь;

Pm(x) — многочлен степени m;

Pn-1(x) — многочлен степени n-1;

Qn(x) — многочлен степени n;

Rm-n(x) — многочлен степени m-n при m≥n;

aj, bj, cj, x0 — коэффициенты.

Определения[править]

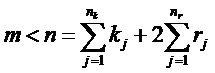
Дробно-рациональная функция называется правильной рациональной дробью, если степень числителя меньше степени знаменателя, то есть m<n.

Дробно-рациональная функция называется неправильной рациональной дробью, если степень числителя не меньше степени знаменателя, т.е. m≥n.

Правильная рациональная дробь называется простейшей в двух случаях:

если числитель — число A, а знаменатель — двучлен в степени вида (x-a)k, где k — натуральное число;

если числитель — двучлен вида Mx+N, а знаменатель — трёхчлен в степени вида (x2+px+q)r, где r — натуральное число и p2<4q.

Вид функции[править]

ДФ01.JPG

Свойства функции[править]

ДФ02.JPG

Дробно-рациональная функция Pm(x)/Q1(x)[править]

ДФ28.JPG

Дробно-рациональная функция Pm(x)/Qn(x)[править]

Теорема

Если знаменатель правильной рациональной дроби представим в виде произведения ДФ40.JPG,

то дробно-рациональная функция представима в виде суммы простейших рациональных дробей в виде:

ДФ41.JPG, где ДФ42.JPG.

Разложение правильной рациональной дроби[править]

Другие функции[править]


Ссылки[править]