Гиперболические функции комплексной переменной
Перейти к навигации
Перейти к поиску
Гиперболические функции комплексной переменной — гиперболические функции, у которых аргументами являются комплексные числа.
Гиперболические функции комплексной переменной[править]
Обозначения[править]
x — действительная часть (абсцисса) переменной;
y — мнимая часть (ордината) переменной;
x+iy — комплексная переменная;
x-iy — сопряжённая комплексная переменная;
-x-iy — противоположная комплексная переменная;
-x+iy — противоположная сопряжённой (сопряжённая противоположной) комплексная переменная;
iy — мнимая комплексная переменная;
-iy — сопряжённая (противоположная) мнимая комплексная переменная.
Формулы:[править]
sh:[править]
ch:[править]
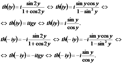
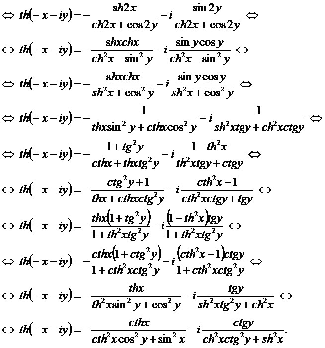
th:[править]
Другие формулы:[править]
- гиперболические функции;
- сумма гиперболических функций;
- разность гиперболических функций;
- произведение гиперболических функций;
- гиперболические функции суммы;
- гиперболические функции разности;
- гиперболические функции двойного аргумента;
- гиперболические функции кратных аргументов;
- гиперболические функции половинного аргумента;
- выражение гиперболических функций через другую;
- выражение гиперболических функций через тригонометрические;
- гиперболические функции комплексной переменной;
- производные гиперболических функций;
- дифференциалы гиперболических функций;
- интегралы гиперболических функций;
- графики гиперболических функций.
Другие функции[править]