В четверг, 7 мая, около 16 часов (MSK) регистратор заморозил домен «cyclowiki.org» без уведомления владельцев. Сайт недоступен из большинства стран. Правление изучает возможности решения проблемы.
Выражение гиперболических функций через другую
Перейти к навигации
Перейти к поиску
Выражение гиперболических функций через другую — это формулы эквивалентных преобразований для гиперболических функций.
Формулы:[править]
shx[править]
chx[править]
thx[править]
cthx[править]
sechx[править]
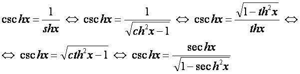
cschx[править]
Другие формулы:[править]
- гиперболические функции;
- сумма гиперболических функций;
- разность гиперболических функций;
- произведение гиперболических функций;
- гиперболические функции суммы;
- гиперболические функции разности;
- гиперболические функции двойного аргумента;
- гиперболические функции кратных аргументов;
- гиперболические функции половинного аргумента;
- выражение гиперболических функций через другую;
- выражение гиперболических функций через тригонометрические;
- гиперболические функции комплексной переменной;
- производные гиперболических функций;
- дифференциалы гиперболических функций;
- интегралы гиперболических функций;
- графики гиперболических функций.
Литература[править]
- Бронштейн И. Н., Семендяев К. А., Справочник по математике. М., 1956, стр.195.