Формулы для гиперболических функций половинного аргумента
(перенаправлено с «Гиперболические функции половинного аргумента»)
Перейти к навигации
Перейти к поиску
Гиперболические функции половинного аргумента — это гиперболические функции, в которых половинный аргумент.
Формулы:[править]
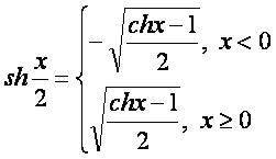
sh(x/2)[править]
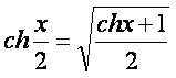
ch(x/2)[править]
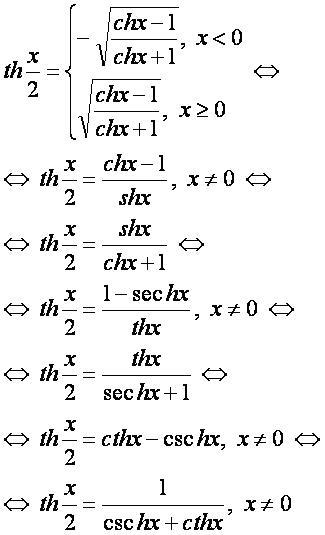
th(x/2)[править]
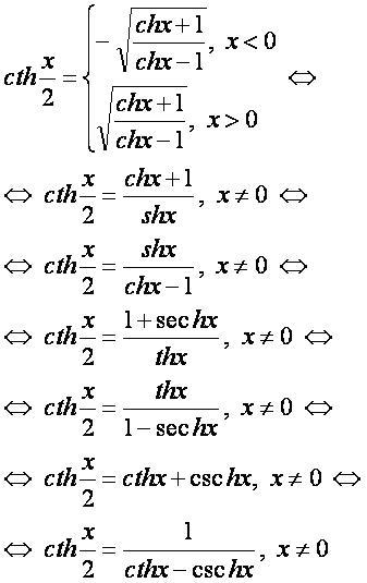
cth(x/2)[править]
Другие формулы:[править]
- гиперболические функции;
- сумма гиперболических функций;
- разность гиперболических функций;
- произведение гиперболических функций;
- гиперболические функции суммы;
- гиперболические функции разности;
- гиперболические функции двойного аргумента;
- гиперболические функции кратных аргументов;
- гиперболические функции половинного аргумента;
- выражение гиперболических функций через другую;
- выражение гиперболических функций через тригонометрические;
- гиперболические функции комплексной переменной;
- производные гиперболических функций;
- дифференциалы гиперболических функций;
- интегралы гиперболических функций;
- графики гиперболических функций.
Ссылки[править]
- Бронштейн М. Н., Семендяев К. А., Справочник по математике. М., 1956, стр.195.
- Участник:Logic-samara