Производные гиперболических функций
Перейти к навигации
Перейти к поиску
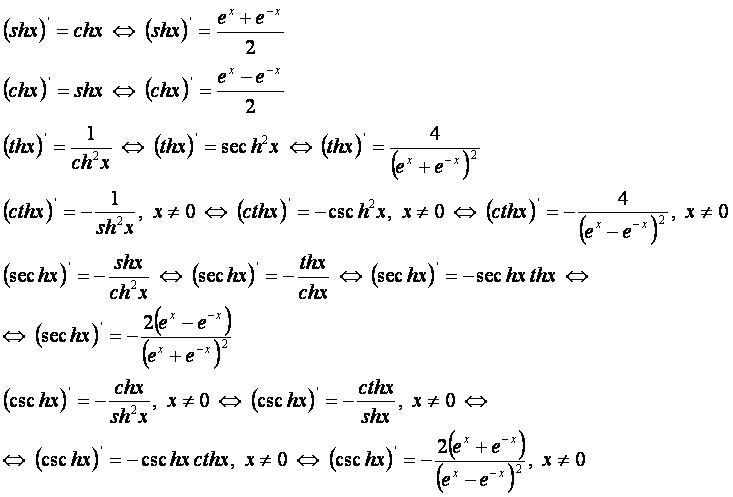
Производные гиперболических функций — это производные от гиперболических функций.
Примеры[править]
Другие производные:[править]
Другие формулы:[править]
- гиперболические функции;
- сумма гиперболических функций;
- разность гиперболических функций;
- произведение гиперболических функций;
- гиперболические функции суммы;
- гиперболические функции разности;
- гиперболические функции двойного аргумента;
- гиперболические функции кратных аргументов;
- гиперболические функции половинного аргумента;
- выражение гиперболических функций через другую;
- выражение гиперболических функций через тригонометрические;
- гиперболические функции комплексной переменной;
- производные гиперболических функций;
- дифференциалы гиперболических функций;
- интегралы гиперболических функций;
- графики гиперболических функций.