Производные элементарных функций
Перейти к навигации
Перейти к поиску
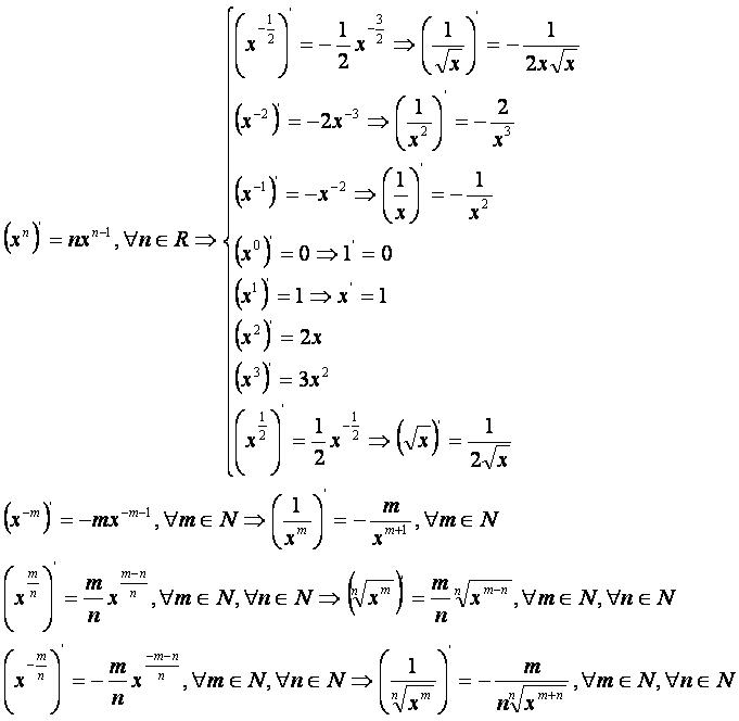
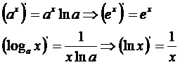
Производные элементарных функций — это производные (табличные) от элементарных функций.
Примеры[править]
См. также[править]
Другие производные:[править]