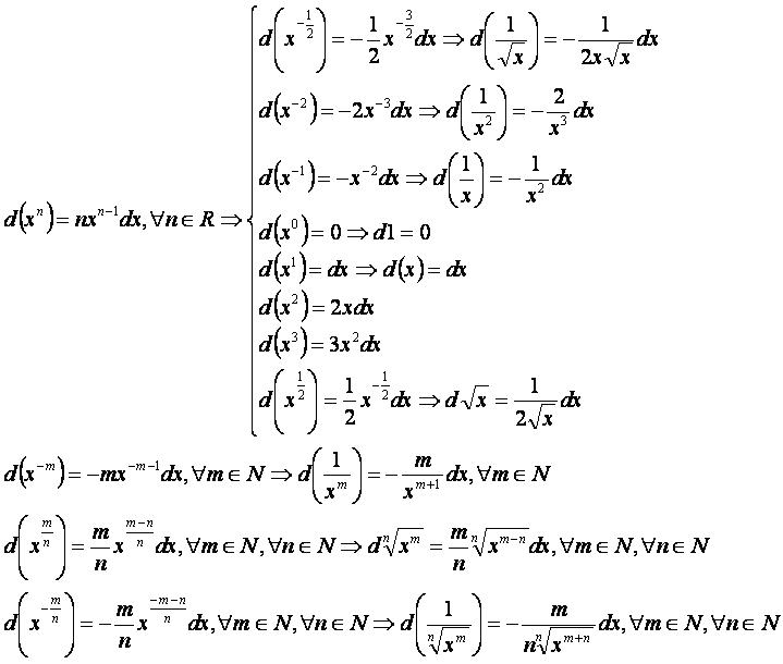
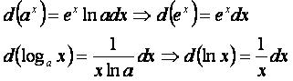
Дифференциалы элементарных функций
Перейти к навигации
Перейти к поиску
Дифференциалы элементарных функций — это дифференциалы (табличные) от элементарных функций.
Примеры[править]
См. также[править]
Другие дифференциалы:[править]