Дифференциалы тригонометрических функций
Перейти к навигации
Перейти к поиску
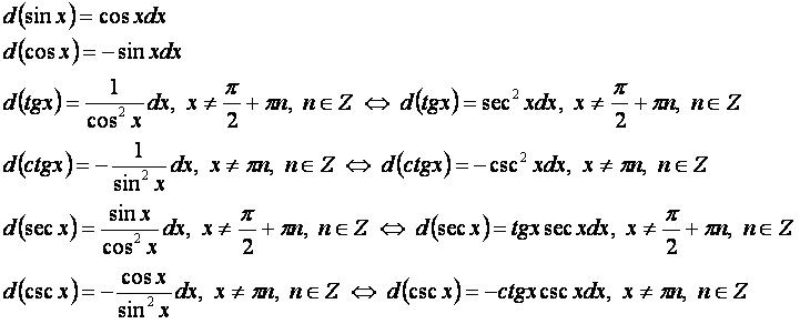
Дифференциалы тригонометрических функций — это дифференциалы от тригонометрических функций.
Примеры[править]
Другие дифференциалы:[править]
Другие формулы:[править]
- тригонометрические функции;
- сумма тригонометрических функций;
- разность тригонометрических функций;
- произведение тригонометрических функций;
- тригонометрические функции суммы углов;
- тригонометрические функции разности углов;
- тригонометрические формулы приведения;
- тригонометрические функции двойного угла;
- тригонометрические функции кратных углов;
- тригонометрические функции половинного угла;
- тригонометрические функции угла, полученного многократным делением пи на два;
- выражение тригонометрических функций через другую;
- выражение тригонометрических функций через гиперболические;
- тригонометрические функции комплексной переменной;
- производные тригонометрических функций;
- дифференциалы тригонометрических функций;
- интегралы тригонометрических функций;
- графики тригонометрических функций.