Формулы для тригонометрических функций суммы углов

Материал из Циклопедии
Перейти к навигации Перейти к поиску

Формулы для тригонометрических функций суммы углов — это формулы, выражающие тригонометрические функции, у которых аргументами являются суммы углов.

Формулы[править]

sin(α+β)[править]

ТФСУ01.JPG

sin(α+β+γ)[править]

ТФСУ011.JPG

cos(α+β)[править]

ТФСУ02.JPG

cos(α+β+γ)[править]

ТФСУ021.JPG

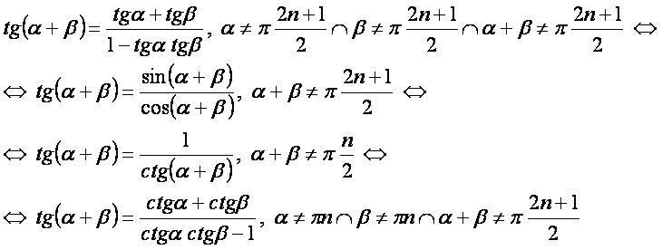
tg(α+β)[править]

ТФСУ03.JPG

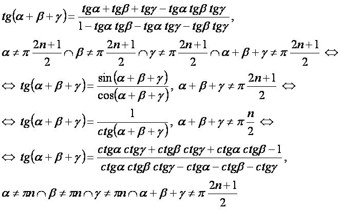
tg(α+β+γ)[править]

ТФСУ031.JPG

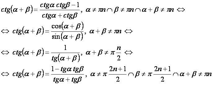
ctg(α+β)[править]

ТФСУ04.JPG

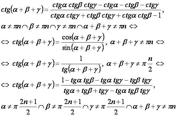
ctg(α+β+γ)[править]

ТФСУ041.PNG

Другие формулы[править]

Литература[править]

  • Бронштейн М. Н., Семендяев К. А. Справочник по математике — М., 1956, стр.183.

Ссылки[править]

 
Общее

Обзор тригонометрииИсторияИспользованиеФункции (синус, косинус, обратные, редко используемые, графики, графики обратных функций, комплексной переменной) • Обобщённая тригонометрияРациональная тригонометрия

Справочник

Тождества (с углами треугольника) • Точные константыТаблицыЕдиничная окружностьОриентированный угол

Законы и теоремы

Теорема синусовТеорема ПифагораТеорема косинусовТеорема тангенсовТеорема котангенсовРешение треугольниковФормула ЭйлераФормулы приведения

Математический анализ

Тригонометрическая подстановкаИнтегралы (обратные функции) • Производные

Простейшие уравнения:

синусакосинусатангенсакотангенсасекансакосеканса

Элементарные формулы:

суммы функцийразности функцийпроизведения функцийполовинного углакратных угловсуммы угловразности угловэквивалентных преобразованийвыражение через гиперболические функциифункции угла, полученного многократным делением пи на двасумма обратных функцийразность обратных функцийудвоение обратных функцийэквивалентные преобразования для обратных функций