Формулы для тригонометрических функций кратных углов
Перейти к навигации
Перейти к поиску
Формулы для тригонометрических функций кратных углов — это формулы, выражающие тригонометрические функции, в которых аргументами являются кратные углы (2α, 3α и т. д.), через тригонометрические функции полного угла α.
Формулы[править]
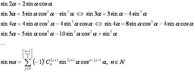
sin(kα)[править]
cos(kα)[править]
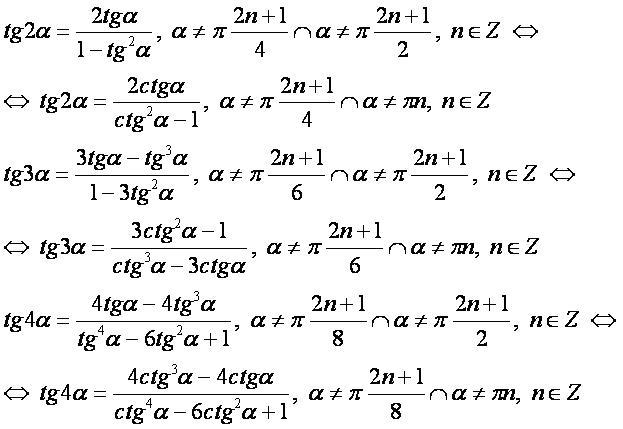
tg(kα)[править]
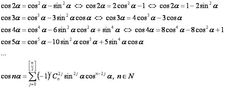
ctg(kα)[править]
См. также[править]
Другие формулы[править]
- тригонометрические функции;
- сумма тригонометрических функций;
- разность тригонометрических функций;
- произведение тригонометрических функций;
- тригонометрические функции суммы углов;
- тригонометрические функции разности углов;
- тригонометрические формулы приведения;
- тригонометрические функции двойного угла;
- тригонометрические функции кратных углов;
- тригонометрические функции половинного угла;
- тригонометрические функции угла, полученного многократным делением пи на два;
- выражение тригонометрических функций через другую;
- выражение тригонометрических функций через гиперболические;
- тригонометрические функции комплексной переменной;
- производные тригонометрических функций;
- дифференциалы тригонометрических функций;
- интегралы тригонометрических функций;
- графики тригонометрических функций.
Литература[править]
- Бронштейн М. Н., Семендяев К. А., Справочник по математике. М., 1956, стр.183.
