Формулы разности обратных тригонометрических функций

Материал из Циклопедии
Перейти к навигации Перейти к поиску

Разность обратных тригонометрических функций — это формулы, выражающие разность обратных тригонометрических функций.

Формулы[править]

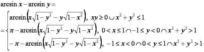
arcsinx-arcsiny[править]

РОТ11.JPG

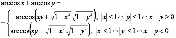
arccosx-arccosy[править]

РОТ22.JPG

arctgx-arctgy [править]

РОТ33.JPG

arcctgx-arcctgy[править]

РОТ44.JPG

Другие формулы[править]


Литература[править]

  • Бронштейн М. Н., Семендяев К. А. Справочник по математике. М., 1956, стр.189.

Ссылки[править]

 
Общее

Обзор тригонометрииИсторияИспользованиеФункции (синус, косинус, обратные, редко используемые, графики, графики обратных функций, комплексной переменной) • Обобщённая тригонометрияРациональная тригонометрия

Справочник

Тождества (с углами треугольника) • Точные константыТаблицыЕдиничная окружностьОриентированный угол

Законы и теоремы

Теорема синусовТеорема ПифагораТеорема косинусовТеорема тангенсовТеорема котангенсовРешение треугольниковФормула ЭйлераФормулы приведения

Математический анализ

Тригонометрическая подстановкаИнтегралы (обратные функции) • Производные

Простейшие уравнения:

синусакосинусатангенсакотангенсасекансакосеканса

Элементарные формулы:

суммы функцийразности функцийпроизведения функцийполовинного углакратных угловсуммы угловразности угловэквивалентных преобразованийвыражение через гиперболические функциифункции угла, полученного многократным делением пи на двасумма обратных функцийразность обратных функцийудвоение обратных функцийэквивалентные преобразования для обратных функций