Выражение тригонометрических функций через гиперболические

Материал из Циклопедии
Перейти к навигации Перейти к поиску

Выражение тригонометрических функций через гиперболические функции — это формулы, выражающие каждую из основных тригонометрических функций через гиперболические функции.

Обозначения[править]

Введём обозначения:

x — действительная часть (абсцисса) переменной;

y — мнимая часть (ордината) переменной;

α = x + iy — комплексная переменная.

Формулы[править]

sinα[править]

ВТФ01.JPG

cosα[править]

ВТФ02.JPG

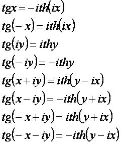
tgα[править]

ВТФ03.JPG

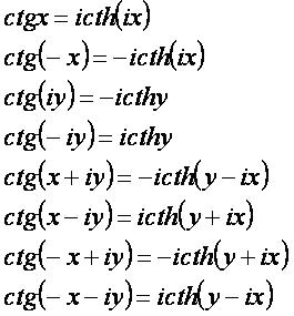
ctgα[править]

ВТФ04.JPG

secα[править]

ВТФ05.JPG

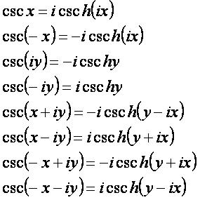
cscα[править]

ВТФ06.JPG

См. также[править]

Другие формулы[править]


Литература[править]

  • Бронштейн М. Н., Семендяев К. А. Справочник по математике. М., 1956, стр.195.

Ссылки[править]

 
Общее

Обзор тригонометрииИсторияИспользованиеФункции (синус, косинус, обратные, редко используемые, графики, графики обратных функций, комплексной переменной) • Обобщённая тригонометрияРациональная тригонометрия

Справочник

Тождества (с углами треугольника) • Точные константыТаблицыЕдиничная окружностьОриентированный угол

Законы и теоремы

Теорема синусовТеорема ПифагораТеорема косинусовТеорема тангенсовТеорема котангенсовРешение треугольниковФормула ЭйлераФормулы приведения

Математический анализ

Тригонометрическая подстановкаИнтегралы (обратные функции) • Производные

Простейшие уравнения:

синусакосинусатангенсакотангенсасекансакосеканса

Элементарные формулы:

суммы функцийразности функцийпроизведения функцийполовинного углакратных угловсуммы угловразности угловэквивалентных преобразованийвыражение через гиперболические функциифункции угла, полученного многократным делением пи на двасумма обратных функцийразность обратных функцийудвоение обратных функцийэквивалентные преобразования для обратных функций