Формулы для тригонометрических функций разности углов

Материал из Циклопедии
Перейти к навигации Перейти к поиску

Формулы для тригонометрических функций суммы углов — это формулы, выражающие тригонометрические функции, у которых аргументами являются разности углов.

Формулы[править]

sin(α-β)[править]

ТФРУ01.JPG

cos(α-β)[править]

ТФРУ02.JPG

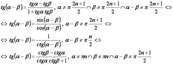
tg(α-β)[править]

ТФРУ03.JPG

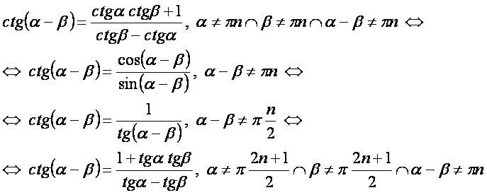
ctg(α-β)[править]

ТФРУ04.PNG

Другие формулы[править]


Литература[править]

  • Бронштейн М. Н., Семендяев К. А., Справочник по математике. М., 1956, стр.183.

Ссылки[править]

 
Общее

Обзор тригонометрииИсторияИспользованиеФункции (синус, косинус, обратные, редко используемые, графики, графики обратных функций, комплексной переменной) • Обобщённая тригонометрияРациональная тригонометрия

Справочник

Тождества (с углами треугольника) • Точные константыТаблицыЕдиничная окружностьОриентированный угол

Законы и теоремы

Теорема синусовТеорема ПифагораТеорема косинусовТеорема тангенсовТеорема котангенсовРешение треугольниковФормула ЭйлераФормулы приведения

Математический анализ

Тригонометрическая подстановкаИнтегралы (обратные функции) • Производные

Простейшие уравнения:

синусакосинусатангенсакотангенсасекансакосеканса

Элементарные формулы:

суммы функцийразности функцийпроизведения функцийполовинного углакратных угловсуммы угловразности угловэквивалентных преобразованийвыражение через гиперболические функциифункции угла, полученного многократным делением пи на двасумма обратных функцийразность обратных функцийудвоение обратных функцийэквивалентные преобразования для обратных функций