Формулы разности тригонометрических функций
(перенаправлено с «Разность тригонометрических функций»)
Перейти к навигации
Перейти к поиску
Формулы разности тригонометрических функций — это формулы, в которых разность тригонометрических функций раскладывается в их произведение.
Формулы[править]
sinα-sinβ[править]
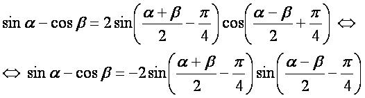
sinα-cosβ[править]
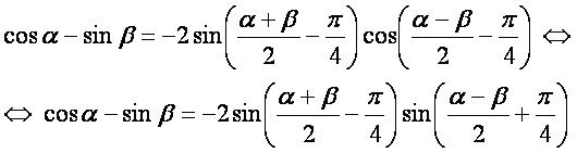
cosα-sinβ[править]
cosα-cosβ[править]
tgα-tgβ[править]
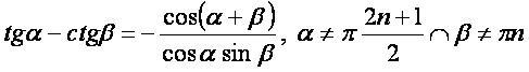
tgα-ctgβ[править]
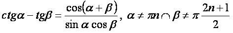
ctgα-tgβ[править]
ctgα-ctgβ[править]
Другие формулы[править]
- тригонометрические функции;
- сумма тригонометрических функций;
- разность тригонометрических функций;
- произведение тригонометрических функций;
- тригонометрические функции суммы углов;
- тригонометрические функции разности углов;
- тригонометрические формулы приведения;
- тригонометрические функции двойного угла;
- тригонометрические функции кратных углов;
- тригонометрические функции половинного угла;
- тригонометрические функции угла, полученного многократным делением пи на два;
- выражение тригонометрических функций через другую;
- выражение тригонометрических функций через гиперболические;
- тригонометрические функции комплексной переменной;
- производные тригонометрических функций;
- дифференциалы тригонометрических функций;
- интегралы тригонометрических функций;
- графики тригонометрических функций.
Литература[править]
- Бронштейн М. Н., Семендяев К. А., Справочник по математике. М., 1956, стр.183.


