Формулы суммы тригонометрических функций

Материал из Циклопедии
Перейти к навигации Перейти к поиску

Формулы суммы тригонометрических функций — формулы, в которых сумма тригонометрических функций раскладывается в произведение.

Формулы[править]

sinα+sinβ[править]

СТФ11.JPG

sinα+cosβ[править]

СТФ12.JPG

cosα+sinβ[править]

СТФ21.JPG

cosα+cosβ[править]

СТФ22.JPG

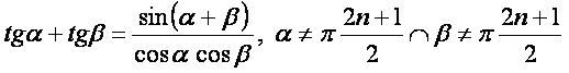
tgα+tgβ[править]

СТФ32.JPG

tgα+ctgβ[править]

СТФ34.JPG

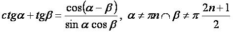
ctgα+tgβ[править]

СТФ43.JPG

ctgα+ctgβ[править]

СТФ44.JPG

Другие формулы[править]


Литература[править]

  • Бронштейн М. Н., Семендяев К. А., Справочник по математике. М., 1956, стр.183.

Ссылки[править]

 
Общее

Обзор тригонометрииИсторияИспользованиеФункции (синус, косинус, обратные, редко используемые, графики, графики обратных функций, комплексной переменной) • Обобщённая тригонометрияРациональная тригонометрия

Справочник

Тождества (с углами треугольника) • Точные константыТаблицыЕдиничная окружностьОриентированный угол

Законы и теоремы

Теорема синусовТеорема ПифагораТеорема косинусовТеорема тангенсовТеорема котангенсовРешение треугольниковФормула ЭйлераФормулы приведения

Математический анализ

Тригонометрическая подстановкаИнтегралы (обратные функции) • Производные

Простейшие уравнения:

синусакосинусатангенсакотангенсасекансакосеканса

Элементарные формулы:

суммы функцийразности функцийпроизведения функцийполовинного углакратных угловсуммы угловразности угловэквивалентных преобразованийвыражение через гиперболические функциифункции угла, полученного многократным делением пи на двасумма обратных функцийразность обратных функцийудвоение обратных функцийэквивалентные преобразования для обратных функций