Формулы произведения тригонометрических функций
Перейти к навигации
Перейти к поиску
Формулы произведения тригонометрических функций — формулы, которые представляют произведение тригонометрических функций в виде суммы.
Формулы[править]
sinα·sinβ[править]
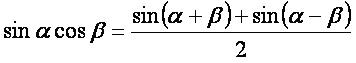
sinα·cosβ[править]
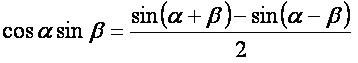
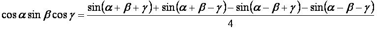
cosα·sinβ[править]
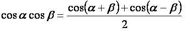
cosα·cosβ[править]
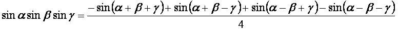
sinα·sinβ·sinγ[править]
sinα·sinβ·cosγ[править]
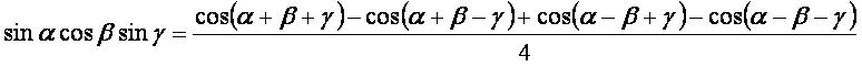
sinα·cosβ·sinγ[править]
sinα·cosβ·cosγ[править]
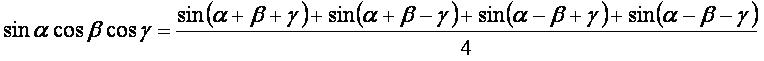
cosα·sinβ·sinγ[править]
cosα·sinβ·cosγ[править]
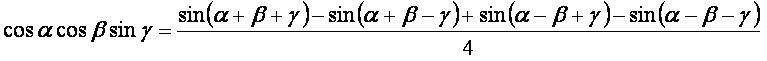
cosα·cosβ·sinγ[править]
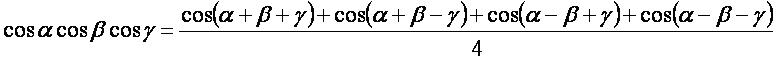
cosα·cosβ·cosγ[править]
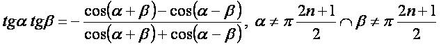
tgα·tgβ[править]
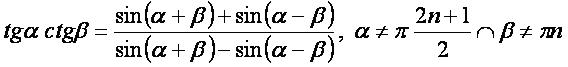
tgα·ctgβ[править]
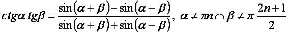
ctgα·tgβ[править]
ctgα·ctgβ[править]
Другие формулы[править]
- тригонометрические функции;
- сумма тригонометрических функций;
- разность тригонометрических функций;
- произведение тригонометрических функций;
- тригонометрические функции суммы углов;
- тригонометрические функции разности углов;
- тригонометрические формулы приведения;
- тригонометрические функции двойного угла;
- тригонометрические функции кратных углов;
- тригонометрические функции половинного угла;
- тригонометрические функции угла, полученного многократным делением пи на два;
- выражение тригонометрических функций через другую;
- выражение тригонометрических функций через гиперболические;
- тригонометрические функции комплексной переменной;
- производные тригонометрических функций;
- дифференциалы тригонометрических функций;
- интегралы тригонометрических функций;
- графики тригонометрических функций.
Литература[править]
- Бронштейн М. Н., Семендяев К. А., Справочник по математике. М., 1956, стр.184.


