Произведение гиперболических функций
Перейти к навигации
Перейти к поиску
Произведение гиперболических функций — это произведение, в котором сомножители являются гиперболическими функциями.
Формулы:[править]
shx:[править]
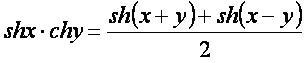
shx∙shy:[править]
shx∙chy:[править]
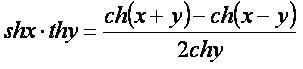
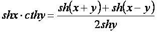
shx∙thy:[править]
shx∙cthy:[править]
сhx:[править]
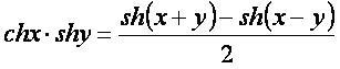
chx∙shy:[править]
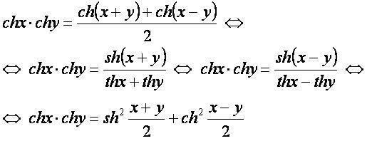
chx∙chy:[править]
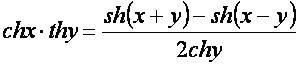
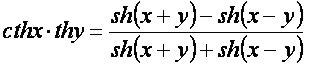
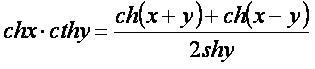
chx∙thy:[править]
chx∙cthy:[править]
thx:[править]
thx∙shy:[править]
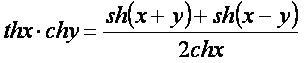
thx∙chy:[править]
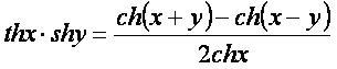
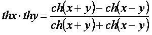
thx∙thy:[править]
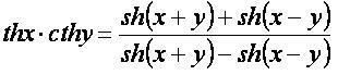
thx∙cthy:[править]
сthx:[править]
cthx∙shy:[править]
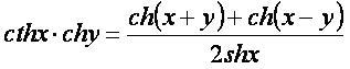
cthx∙chy:[править]
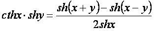
cthx∙thy:[править]
cthx∙cthy:[править]
Другие формулы:[править]
- гиперболические функции;
- сумма гиперболических функций;
- разность гиперболических функций;
- произведение гиперболических функций;
- гиперболические функции суммы;
- гиперболические функции разности;
- гиперболические функции двойного аргумента;
- гиперболические функции кратных аргументов;
- гиперболические функции половинного аргумента;
- выражение гиперболических функций через другую;
- выражение гиперболических функций через тригонометрические;
- гиперболические функции комплексной переменной;
- производные гиперболических функций;
- дифференциалы гиперболических функций;
- интегралы гиперболических функций;
- графики гиперболических функций.
Литература[править]
- Прудников А. П., Брычков Ю. А., Маричев О. И. Интегралы и ряды. Элементарные функции. М., Наука, 1981, стр.766.