Алгоритм Дейкстры

Материал из Циклопедии
Перейти к навигации Перейти к поиску

Алгоритм Дейкстры — алгоритм нахождения минимальных расстояний и маршрутов от заданного пункта до остальных.

Обозначения[править]

k — число пунктов (вершин графа);

V — множество вершин графа (пунктов);

E — множество «не просмотренных» вершин;

J — множество конечных вершин дуг исходящих из «просматриваемой» вершины;

G — множество дуг графа (дорог между пунктами);

dij — расстояние от пункта i до пункта j, зависящее от направления;

snj — наименьшее расстояние от пункта n до пункта j;

pj — пункт в оптимальном маршруте, предшествующий пункту j;

n — начальный пункт.

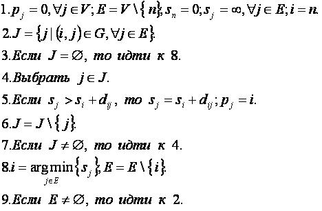
Алгоритм[править]

Входные данные: k; n; V; G; {d12, d13, …, dk k-1}.

АДЕ01.PNG

Выходные данные: {sn1, sn2, …, snk}; {p1, p2, …, pk}.

  • Заметим, что оптимальный маршрут из пункта n в пункт k имеет длину snk и вид {n, … , ppk, pk, k}.

Другие алгоритмы:[править]


Ссылки[править]