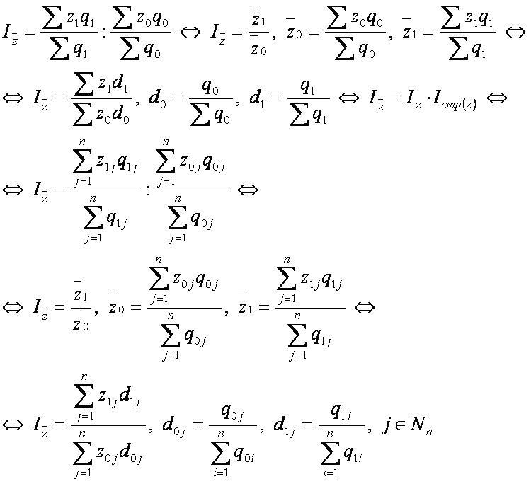
Индекс средней себестоимости
Индекс средней себестоимости — положительное число, характеризующее темп роста средневзвешенной себестоимости в относительных единицах.
Рассчитывается как отношение текущей средневзвешенной себестоимости товаров к средневзвешенной себестоимости базисного периода.
Обозначения:[править]
n — число товаров (ассортиментный набор);
j — индекс (номер) товара;
z0, z0j — себестоимость j-ого товара в базисном периоде;
z1, z1j — себестоимость j-ого товара в отчётном периоде;
q0, q0j — физический объём j-ого товара в базисном периоде;
q1, q1j — физический объём j-ого товара в отчётном периоде;
zq, zjqj — затраты j-ого товара;
d, dj — доля j-ого товара в ассортиментном наборе (в натуральном выражении);
— средняя себестоимость товаров ассортиментного набора;
— индекс средней себестоимости или индекс себестоимости переменного состава;
Iz — общий индекс себестоимости или индекс себестоимости фиксированного состава;
Iстр(z) — индекс структурных сдвигов по себестоимости.
Формулы:[править]
Другие индексы:[править]
- индекс цен;
- индекс физического объёма;
- индекс товарооборота;
- индекс средней цены;
- индекс структурных сдвигов;
- индекс Фишера;
- индекс Ласпейреса;
- индекс Пааше;
- индекс себестоимости;
- индекс физического объёма по себестоимости;
- индекс затрат;
- индекс средней себестоимости;
- индекс структурных сдвигов по себестоимости.
Ссылки[править]
- Википедия. Индексы.
- Участник:Logic-samara