Обсуждение:Скалярное произведение

Материал из Циклопедии
Перейти к навигации Перейти к поиску

Автор первоначального варианта статьи:


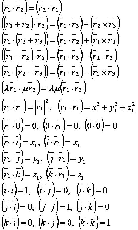
  • Предлагаю представить свойства скалярного произведения в первоначальном виде для сравнения. Logic-samara 12:30, 1 марта 2024.

«Свойства:» ВЕК31.PNG.