Арифметическая прогрессия

Материал из Циклопедии
Перейти к навигации Перейти к поиску
Математика - Арифметическая прогрессия // Skill up

Арифметическая прогрессия — это бесконечная последовательность чисел, каждое из которых (начиная со второго) получается из предыдущего сложением с постоянным числом называемым разностью.

Обозначения[править]

ai — i-ый член последовательности;

d — разность последовательности;

{a1, a2, …, ai, …} — числовая последовательность.

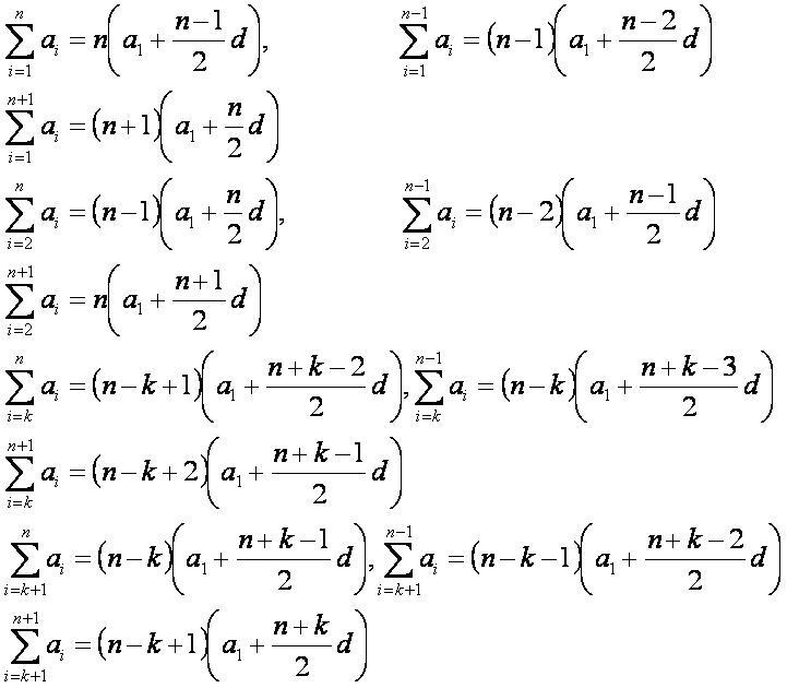
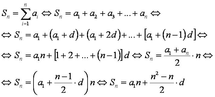
Формула суммы[править]

Пусть Sn — сумма первых n членов последовательности.

АП11.JPG

АП12.JPG

Следствия[править]

АП13.JPG

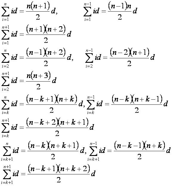
Свойства[править]

АП21.JPG

См. также[править]

Ссылки[править]