Геометрическая прогрессия

Материал из Циклопедии
Перейти к навигации Перейти к поиску
Математика - Геометрическая прогрессия // Skill up

Геометрическая прогрессия — это бесконечная последовательность чисел, каждое из которых (начиная со второго) получается из предыдущего умножением на постоянное число, называемое знаменателем.

Обозначения[править]

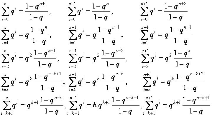
Введём обозначения:

bii-ый член последовательности;

q – знаменатель последовательности;

{b1, b2, …, bi, …} – числовая последовательность.

ГП10.JPG

Формула суммы[править]

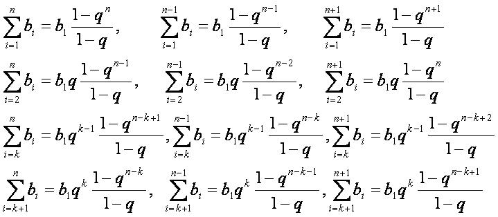
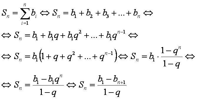
Пусть Sn – сумма первых n членов последовательности.

ГП11.JPG

ГП12.JPG

Следствия:[править]

ГП13.JPG

Свойства:[править]

ГП21.JPG

См. также[править]

Ссылки[править]