Числовая последовательность

Материал из Циклопедии
Перейти к навигации Перейти к поиску

Числовая последовательность — бесконечная последовательность чисел, задаваемых формулой или правилом.

Обозначения[править]

Введём обозначения:

xnn-ый член последовательности;

{x1, x2, …, xn, …} – числовая последовательность.

Предел последовательности[править]

Пределом числовой последовательности {xn} называется число A, в ε-окрестность которого попадают все члены последовательности с номером больше номера N(ε).

ПР01.JPG

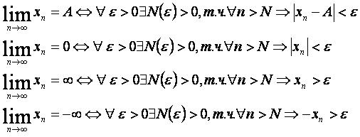
Виды пределов[править]

ПР02.JPG

Свойства[править]

Для последовательностей {xn} и {yn} верны правила:

ПРЕ021.JPG

При xn и yn=C получаем:

ПРЕ022.JPG

При xn=C и yn получаем:

ПРЕ023.PNG

Виды последовательностей:[править]

Другие понятия:[править]

Ссылки[править]