Вектор (математика)

Материал из Циклопедии
Перейти к навигации Перейти к поиску
← другие значения
Зачем нужен Вектор. Объяснение математического смысла // SciencePub [4:17]
Векторы. Метод координат. Вебинар / Математика // TutorOnline — уроки для школьников [42:11]

Вектор (от лат. vector — несущий) — отрезок определённой длины и направления.

Векторное исчисление — раздел математики, в котором изучаются операции над векторами.

Обозначения[править]

Вектор можно представить как (последовательность, кортеж) однородных элементов. То есть вектором называется упорядоченная совокупность n чисел. Обозначается Невозможно разобрать выражение (Ошибка преобразования. Сервер («https://wikimedia.org/api/rest_») сообщил: «Cannot get mml. Server problem.»): {\displaystyle {\overline {x}}=(x_{1},x_{2},\ldots ,x_{n})} , числа Невозможно разобрать выражение (Ошибка преобразования. Сервер («https://wikimedia.org/api/rest_») сообщил: «Cannot get mml. Server problem.»): {\displaystyle x_{1},x_{2},\ldots ,x_{n}} называются компонентами (координатами) вектора.

В любом Невозможно разобрать выражение (Ошибка преобразования. Сервер («https://wikimedia.org/api/rest_») сообщил: «Cannot get mml. Server problem.»): {\displaystyle R^{n}} , точка, соответствующая набору имеет особое значение и называется началом координат. Если в упорядоченной совокупности Невозможно разобрать выражение (SVG с запасным PNG (MathML можно включить с помощью плагина для браузера): Недопустимый ответ («Math extension cannot connect to Restbase.») от сервера «https://wikimedia.org/api/rest_v1/»:): {\displaystyle n} -чисел — Невозможно разобрать выражение (SVG с запасным PNG (MathML можно включить с помощью плагина для браузера): Недопустимый ответ («Math extension cannot connect to Restbase.») от сервера «https://wikimedia.org/api/rest_v1/»:): {\displaystyle R^n} , Невозможно разобрать выражение (SVG с запасным PNG (MathML можно включить с помощью плагина для браузера): Недопустимый ответ («Math extension cannot connect to Restbase.») от сервера «https://wikimedia.org/api/rest_v1/»:): {\displaystyle n} равно единице, двум или трем, то мы ее можем представить геометрически как, соответственно, прямую, плоскость и пространство. Если Невозможно разобрать выражение (SVG с запасным PNG (MathML можно включить с помощью плагина для браузера): Недопустимый ответ («Math extension cannot connect to Restbase.») от сервера «https://wikimedia.org/api/rest_v1/»:): {\displaystyle n=2} , то Невозможно разобрать выражение (SVG с запасным PNG (MathML можно включить с помощью плагина для браузера): Недопустимый ответ («Math extension cannot connect to Restbase.») от сервера «https://wikimedia.org/api/rest_v1/»:): {\displaystyle R^2} можно рассматривать как плоскость, как совокупность упорядоченных пар вещественных чисел с координатами Невозможно разобрать выражение (SVG с запасным PNG (MathML можно включить с помощью плагина для браузера): Недопустимый ответ («Math extension cannot connect to Restbase.») от сервера «https://wikimedia.org/api/rest_v1/»:): {\displaystyle x} и Невозможно разобрать выражение (SVG с запасным PNG (MathML можно включить с помощью плагина для браузера): Недопустимый ответ («Math extension cannot connect to Restbase.») от сервера «https://wikimedia.org/api/rest_v1/»:): {\displaystyle y} . Если Невозможно разобрать выражение (SVG с запасным PNG (MathML можно включить с помощью плагина для браузера): Недопустимый ответ («Math extension cannot connect to Restbase.») от сервера «https://wikimedia.org/api/rest_v1/»:): {\displaystyle n=3} то Невозможно разобрать выражение (SVG с запасным PNG (MathML можно включить с помощью плагина для браузера): Недопустимый ответ («Math extension cannot connect to Restbase.») от сервера «https://wikimedia.org/api/rest_v1/»:): {\displaystyle R^3} можно рассматривать как пространство, как совокупность упорядоченных троек вещественных чисел с координатами Невозможно разобрать выражение (SVG с запасным PNG (MathML можно включить с помощью плагина для браузера): Недопустимый ответ («Math extension cannot connect to Restbase.») от сервера «https://wikimedia.org/api/rest_v1/»:): {\displaystyle x} , Невозможно разобрать выражение (SVG с запасным PNG (MathML можно включить с помощью плагина для браузера): Недопустимый ответ («Math extension cannot connect to Restbase.») от сервера «https://wikimedia.org/api/rest_v1/»:): {\displaystyle y} , Невозможно разобрать выражение (SVG с запасным PNG (MathML можно включить с помощью плагина для браузера): Недопустимый ответ («Math extension cannot connect to Restbase.») от сервера «https://wikimedia.org/api/rest_v1/»:): {\displaystyle z} . Вектор это элемент Невозможно разобрать выражение (SVG с запасным PNG (MathML можно включить с помощью плагина для браузера): Недопустимый ответ («Math extension cannot connect to Restbase.») от сервера «https://wikimedia.org/api/rest_v1/»:): {\displaystyle R^n} . Таким образом, упорядоченной совокупности может равным образом соответствовать как точка так и вектор. Так как вектор геометрически представляется как направленный отрезок, вектор можно рассматривать как разность между двумя точками — координатами начала и конца отрезка.

Векторы Невозможно разобрать выражение (SVG с запасным PNG (MathML можно включить с помощью плагина для браузера): Недопустимый ответ («Math extension cannot connect to Restbase.») от сервера «https://wikimedia.org/api/rest_v1/»:): {\displaystyle \overline{x}=(x_1,x_2,\ldots,x_n)} с элементами Невозможно разобрать выражение (SVG с запасным PNG (MathML можно включить с помощью плагина для браузера): Недопустимый ответ («Math extension cannot connect to Restbase.») от сервера «https://wikimedia.org/api/rest_v1/»:): {\displaystyle x_1,x_2,\ldots,x_n} из поля K можно складывать и умножать на число, они образуют n-мерное линейное пространство над полем K.

Рассмотрим векторы в трехмерном пространстве R3.

r1=(x1, y1, z1) — первый вектор;
r2=(x2, y2, z2) — второй вектор;
r3=(x3, y3, z3) — третий вектор;
φr1r2 — угол между векторами (0 < φr1r2 < π).
λ — число;
μ — число.

Формулы[править]

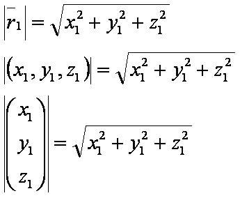
Длина вектора[править]

 → Длина вектора

ВЕК01.JPG

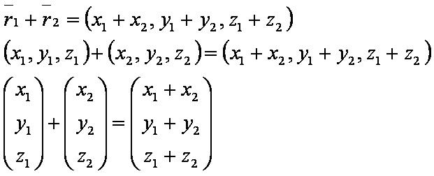
Сложение векторов[править]

 → Сумма векторов в трёхмерном пространстве

ВЕК11.JPG

Вычитание векторов[править]

 → Разность векторов в трёхмерном пространстве

ВЕК12.JPG

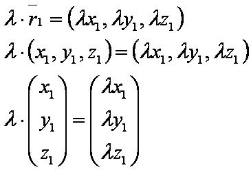
Умножение вектора на число[править]

 → Умножение вектора на число

ВЕК20.JPG

Скалярное произведение[править]

 → Скалярное произведение

ВЕК21.PNG

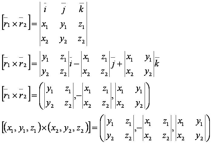
Векторное произведение[править]

 → Векторное произведение

ВЕК22.JPG

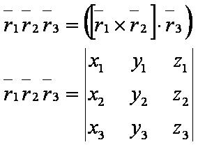
Смешанное произведение[править]

 → Смешанное произведение

ВЕК33.JPG

Двойное векторное произведение[править]

 → Двойное векторное произведение

ВЕК36.JPG

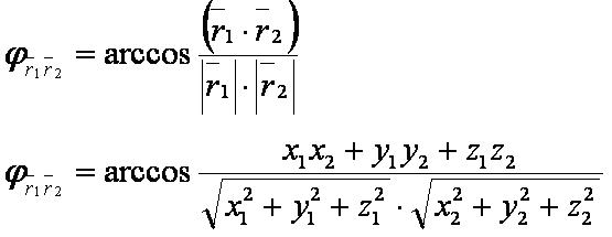
Угол между векторами[править]

 → Угол между векторами в трёхмерном пространстве

УВВ01.PNG

См. также[править]

Виды операций[править]


Другие понятия[править]


Литература[править]

  • Корн Г., Корн Т. Справочник по математике для научных работников и инженеров — М.: Наука, 1970

Ссылки[править]

 
Векторы и матрицы
Векторы
Основные понятия
Виды векторов
Операции над векторами
Типы пространств
Матрицы
Основные понятия
Специальные матрицы
Разложения матриц
Другое