Метод Грама-Шмидта

Материал из Циклопедии
Перейти к навигации Перейти к поиску
10.5 Процесс ортогонализации (Ирина Аскольдовна Хованская, ВШЭ)

Метод Грама-Шмидта — это способ ортогонализации системы линейно-независимых векторов.

Описание метода[править]

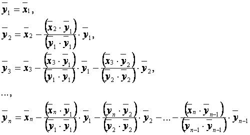
Суть метода Грама-Шмидта состоит во взятии первого ортогонального вектора равным первому исходному вектору и построении каждого нового ортогонального вектора равным текущему исходному вектору, скорректированному на величины проекций текущего вектора на предыдущие ортогональные векторы.

Исходная система линейно-независимых векторов имеет вид:

МГШ01.JPG

Алгоритм[править]

Основные формулы в векторном виде.

МГШ02.JPG

Основные формулы в координатном виде.

МГШ03.JPG

Система ортогональных векторов принимает вид:

МГШ04.JPG

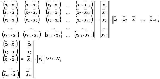
Процесс ортогонализации можно выразить в матричном виде.

Для этого проведём подготовительные расчёты.

МГШ11.JPG

где верны равенства:

МГШ13.JPG

Процесс ортогонализации превращается в обычное умножение матриц.

МГШ12.PNG

Пример[править]

Дана система векторов:

МГШ21.PNG

Ортогонализируем систему векторов методом Грама-Шмидта.

МГШ22.PNG

В результате получаем ортогональную систему векторов:

МГШ23.JPG

Для решения с помощью матриц проведём подготовительные расчёты.

МГШ31.JPG

Ортогонализируем систему векторов умножением матриц.

МГШ32.JPG

Численные методы:[править]


Литература[править]

  • Беллман Р. Введение в теорию матриц. М.: Наука, 1976, стр. 65.

Ссылки[править]