Проекция вектора на вектор в трёхмерном пространстве

Материал из Циклопедии
(перенаправлено с «Проекция вектора на вектор»)
Перейти к навигации Перейти к поиску

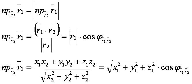
Числовая проекция вектора на другой вектор (в алгебраическом смысле) — это число, равное отношению скалярного произведения этих векторов к длине второго вектора.

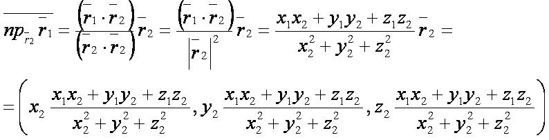
Векторная проекция вектора на другой вектор (в геометрическом смысле) — это вектор с длиной, равной отношению скалярного произведения этих векторов к длине второго вектора, и с направлением второго вектора.

Обозначения[править]

— первый вектор;
— второй вектор.

Проекции[править]

Векторная проекция[править]

ПВВ02.JPG

  • При r2=r1 получаем равенство ПВВ12.JPG

Числовая проекция[править]

ПВВ01.PNG

  • При r2=r1 получаем равенство ПВВ11.JPG


Другие проекции:[править]


Литература[править]

  • Корн Г., Корн Т. Справочник по математике для научных работников и инженеров — М.: Наука, 1970.

Ссылки[править]