График c последовательным движением деталей

Материал из Циклопедии
Перейти к навигации Перейти к поиску

График c последовательным движением деталей — это график Гантта.

Графическая модель[править]

ГГ51.JPG

Обозначения[править]

n – общее число деталей;

m – число операций в технологическом (производственном) цикле;

p – число деталей в партии;

k – общее число партий;

ci – число станков для обработки деталей на i-ой операции;

tшт i – длительность i-ой операции (время обработки одной детали на i-ом станке);

tн i – начало (момент времени) i-ой операции для всех деталей;

tк i – конец (момент времени) i-ой операции для всех деталей;

tн ij – начало (момент времени) i-ой операции для j-ой партии;

tк ij – конец (момент времени) i-ой операции для j-ой партии;

tмо – межоперационное время (время передачи партии на другой станок);

Tпосл. – длительность технологического цикла при последовательном движении деталей.

Основные формулы[править]

Длительность технологического цикла при последовательном движении деталей

ГГ01.JPG

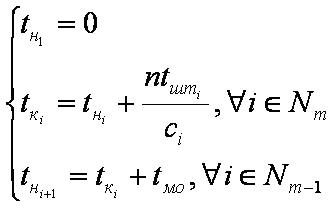
Моменты времени начала и конца обработки всех деталей по операциям с последовательным движением деталей

ГГ11.JPG

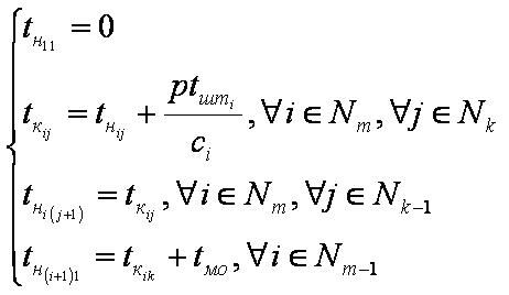
Моменты времени начала и конца обработки партий деталей по операциям с последовательным движением деталей

ГГ12.JPG

Связь моментов времени начала и конца обработки деталей по операциям.

ГГ13.JPG

Другие графики:[править]


Ссылки[править]