Графики Гантта

Материал из Циклопедии
Перейти к навигации Перейти к поиску

Графики Гантта — это графики движения деталей от станка к станку при различных технологических (производственных) режимах.

Виды движения деталей[править]

  • Последовательный
  • Параллельный
  • Параллельно-последовательный

Обозначения[править]

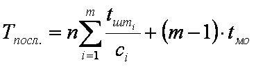
n – общее число деталей;

m – число операций в технологическом (производственном) цикле;

p – число деталей в партии (детали со станка на станок передаются партиями);

ci – число станков для обработки деталей на i-ой операции;

tшт i – длительность i-ой операции (время обработки одной детали на i-ом станке);

tмо – межоперационное время (время передачи партии с одного станка на другой станок, для последней операции не учитывается);

Tпосл. – длительность технологического цикла при последовательном движении деталей;

Tпар. – длительность технологического цикла при параллельном движении деталей;

Tпар-посл. – длительность технологического цикла при параллельно-последовательном движении деталей.

Основные формулы[править]

Последовательный вид движения деталей[править]

ГГ01.JPG

Параллельный вид движения деталей[править]

ГГ02.JPG

Параллельно-последовательный вид движения деталей[править]

ГГ03.PNG

Примеры графиков[править]

График c последовательным движением деталей[править]

ГГ41.JPG

График c параллельным движением деталей[править]

ГГ42.JPG

График c параллельно-последовательным движением деталей[править]

ГГ43.JPG

Другие алгоритмы:[править]


Другие графики:[править]


Ссылки[править]