Алгоритм Флойда

Материал из Циклопедии
Перейти к навигации Перейти к поиску

Алгоритм Флойдаалгоритм нахождения минимальных расстояний между пунктами.

Обозначения[править]

n - число пунктов.

dij - расстояние от пункта i до пункта j, зависящее от направления.

Алгоритм нахождения минимальных расстояний[править]

Входные данные: n; {d12, d13, ..., dn n-1}.

АФ01.PNG

Выходные данные: {d12, d13, ..., dn n-1}.

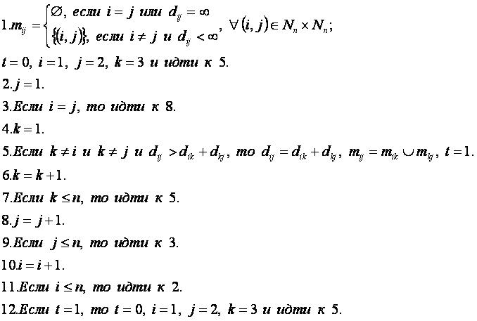
Введём дополнительные обозначения.

mij - маршрут от пункта i до пункта j.

Алгоритм получения оптимальных маршрутов[править]

Входные данные: n; {d12, d13, ..., dn n-1}.

АФ02.JPG

Выходные данные: {d12, d13, ..., dn n-1}; {m12, m13, ..., mn n-1}.

Другие алгоритмы:[править]


Ссылки[править]