Алгоритм Ху

Материал из Циклопедии
Перейти к навигации Перейти к поиску

Алгоритм Ху — алгоритм нахождения максимальных пропускных способностей между пунктами.

Обозначения[править]

n - число пунктов.

dij - пропускная способность коммуникации от пункта i до пункта j, зависящая от направления.

Алгоритм нахождения максимальных пропускных способностей[править]

Входные данные: n; {d12, d13, ..., dn n-1}.

АХ01.JPG

Выходные данные: {d12, d13, ..., dn n-1}.

Введём дополнительные обозначения.

mij - маршрут от пункта i до пункта j.

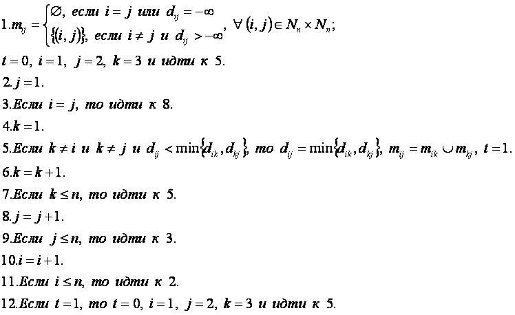
Алгоритм получения оптимальных маршрутов[править]

Входные данные: n; {d12, d13, ..., dn n-1}.

АХ02.PNG

Выходные данные: {d12, d13, ..., dn n-1}; {m12, m13, ..., mn n-1}.

Другие алгоритмы:[править]


Ссылки[править]