Задача замены оборудования

Материал из Циклопедии
Перейти к навигации Перейти к поиску

Задача замены оборудования — задача определения оптимального цикла замены оборудования.

Обозначения:[править]

n — число лет планирования замены оборудования;

t — временной параметр;

τt — переменная — возраст оборудования в t-ый год планирования;

F — целевая функция — общий доход от использования оборудования в период планирования;

f(t) — доход от использования оборудования, возраст которого t лет;

r(t) — стоимость продукции, производимой за год на единице оборудования, возраст которого t лет;

z(t) — затраты на обслуживание единицы оборудования в течение одного t-ого года;

s(t) — остаточная стоимость оборудования, возраст которого t лет;

p — стоимость (цена) нового оборудования;

fn(t) — максимальная прибыль в оставшиеся n лет от использования оборудования, возраст которого t лет.

Математическая модель[править]

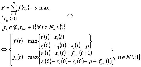
Математическая модель задачи замены оборудования имеет вид функционального уравнения:

ЗЗО02.JPG

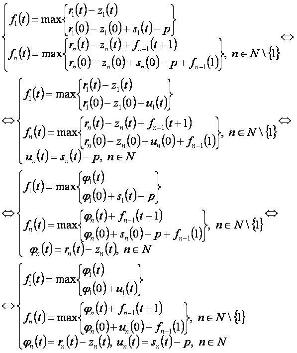
Возможны следующие эквивалентные функциональные уравнения.

ЗЗО03.JPG

Метод решения[править]

Задача замены оборудования решается методом динамического программирования.

Другие задачи[править]


Литература[править]

  • Кузнецов Ю.Н., Кузубов В.И., Волощенко А.Б. Математическое программирование, «Высшая школа», М.,1980, стр.259.

Ссылки[править]