Задача распределения средств

Материал из Циклопедии
Перейти к навигации Перейти к поиску

Задача распределения средств — задача определения оптимального распределения средств (инвестиций) между предприятиями.

Обозначения:[править]

n — число предприятий;

x — переменная — объём средств (инвестиций);

b — ограничение — объём средств;

F — целевая функция — общий доход от распределения средств;

i — индекс — номер предприятия;

xi — объём средств на i–ом предприятии;

fi(x) — доход от использования x средств на i–ом предприятии;

k — индекс — номер этапа оптимизации;

Fk(x) — максимальный доход от распределения x средств на k-ом этапе оптимизации;

bk — остаток средств на k–ом этапе оптимизации;

xk — оптимальное распределение средств для k–ого предприятия.

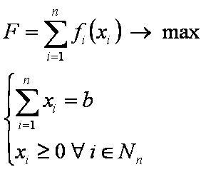
Математическая модель[править]

Математическая модель задачи распределения средств имеет вид функционального уравнения:

ЗРС02.JPG

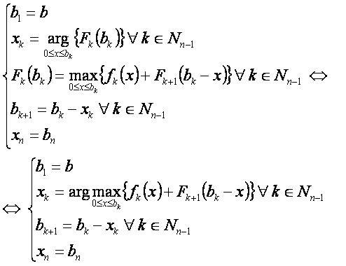
Метод решения[править]

Задача распределения средств решается методом динамического программирования и имеет решение следующего вида:

ЗРС03.JPG

Другие задачи:[править]


Литература[править]

  • Кузнецов Ю.Н., Кузубов В.И., Волощенко А.Б. Математическое программирование, «Высшая школа», М.,1980, стр.252.

Ссылки[править]