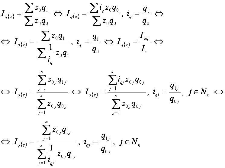
Индекс физического объёма по себестоимости
Индекс физического объёма по себестоимости — положительное число, характеризующее средневзвешенный темп роста объёма товаров по себестоимости базисного периода.
Рассчитывается как отношение текущего ассортиментного набора в себестоимости базисного периода к базисному ассортиментному набору в себестоимости базисного периода.
Обозначения:[править]
n — число товаров (ассортиментный набор);
j — индекс (номер) товара;
z0, z0j — себестоимость j-ого товара в базисном периоде;
z1, z1j — себестоимость j-ого товара в отчётном периоде;
q0, q0j — физический объём j-ого товара в базисном периоде;
q1, q1j — физический объём j-ого товара в отчётном периоде;
zq, zjqj — затраты j-ого товара;
iz, izj — индивидуальный индекс себестоимости;
iq, iqj — индивидуальный индекс физического объёма;
izq, izqj — индивидуальный индекс затрат.
Iz — общий индекс себестоимости;
Iq(z) — общий индекс физического объёма по себестоимости;
Izq — общий индекс затрат.
Формулы:[править]
Другие индексы:[править]
- индекс цен;
- индекс физического объёма;
- индекс товарооборота;
- индекс средней цены;
- индекс структурных сдвигов;
- индекс Фишера;
- индекс Ласпейреса;
- индекс Пааше;
- индекс себестоимости;
- индекс физического объёма по себестоимости;
- индекс затрат;
- индекс средней себестоимости;
- индекс структурных сдвигов по себестоимости.
Ссылки[править]
- Википедия. Индексы.
- Участник:Logic-samara