Индекс цен
Индекс цен (индекс цен фиксированного состава) — положительное число, характеризующее средневзвешенный темп роста цен в относительных единицах.
Рассчитывается как отношение текущих потребительских расходов к расходам на приобретение такого же ассортиментного набора в ценах базисного периода.
Обозначения:[править]
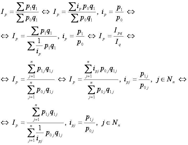
n — число товаров (ассортиментный набор);
j — индекс (номер) товара;
p0, p0j — цена j-ого товара в базисном периоде;
p1, p1j — цена j-ого товара в отчётном периоде;
q0, q0j — физический объём j-ого товара в базисном периоде;
q1, q1j — физический объём j-ого товара в отчётном периоде;
pq, pjqj — товарооборот j-ого товара;
ip, ipj — индивидуальный индекс цен;
iq, iqj — индивидуальный индекс физического объёма;
ipq, ipqj — индивидуальный индекс товарооборота.
Ip — общий индекс цен или индекс цен фиксированного состава;
Iq — общий индекс физического объёма;
Ipq — общий индекс товарооборота.
Формулы:[править]
Другие индексы:[править]
- индекс цен;
- индекс физического объёма;
- индекс товарооборота;
- индекс средней цены;
- индекс структурных сдвигов;
- индекс Фишера;
- индекс Ласпейреса;
- индекс Пааше;
- индекс себестоимости;
- индекс физического объёма по себестоимости;
- индекс затрат;
- индекс средней себестоимости;
- индекс структурных сдвигов по себестоимости.
Ссылки[править]
- Википедия. Индексы.
- Участник:Logic-samara