Разделительная дизъюнкция
Перейти к навигации
Перейти к поиску
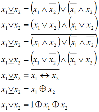
Разделительная дизъюнкция — это логическая функция, реализующая логическое сложение — ЛИБО …, ЛИБО … — исключающее ИЛИ.
Обозначения[править]
x1 — 1-ый аргумент функции — дизъюнкт, слагаемое;
x2 — 2-ой аргумент функции — дизъюнкт, слагаемое;
x1̲˅̲ x2 — функция разделительной дизъюнкции.
Таблица истинности[править]
Эквиваленции[править]
Другие функции:[править]

