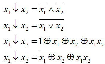
Стрелка Пирса
Перейти к навигации
Перейти к поиску
Стрелка Пирса — это логическая функция, реализующая отрицание дизъюнкции.
Введена в рассмотрение Чарльзом Пирсом в 1880—1881 годах.
Обозначения[править]
x1 – 1-ый аргумент функции;
x2 – 2-ой аргумент функции;
x1↓x2 – функция стрелка Пирса.
Таблица истинности[править]
Эквиваленции[править]
Другие функции:[править]

