Конъюнкция
Перейти к навигации
Перейти к поиску
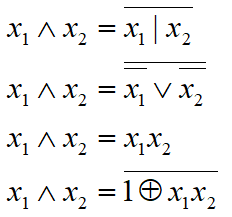
Конъюнкция (от лат. conjunctio — «союз, связь») — логическая функция, реализующая логическое умножение.
Обозначения[править]
x1 – 1-ый аргумент функции – конъюнкт, сомножитель;
x2 – 2-ой аргумент функции – конъюнкт, сомножитель;
x1˄x2 – функция конъюнкции.

