Градиентный метод

Материал из Циклопедии
Перейти к навигации Перейти к поиску
AIML-4-2-2 Метод градиентного спуска [9:14]

Градиентный метод — это метод нахождения точки экстремума функции с помощью градиента этой функции.

Описание метода[править]

Суть метода градиента состоит в выборе новой точки по старой точке в направлении градиента при решении задачи максимизации и в направлении обратном направлению градиента при решении задачи минимизации.

Задачи оптимизации:[править]

  • задача максимизации;
  • задача минимизации.

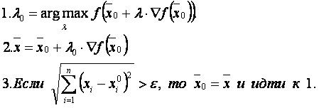
Алгоритм максимизации[править]

Входные данные: n, f(x1, x2, …, xn), (x01, x02, …, x0n), ε.

МГР01.JPG

Выходные данные: (x1, x2, …, xn).

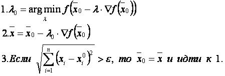
Алгоритм минимизации[править]

Входные данные: n, f(x1, x2, …, xn), (x01, x02, …, x0n), ε.

МГР02.JPG

Выходные данные: (x1, x2, …, xn).

Другие методы:[править]


Литература[править]

  • Кузнецов Ю. Н., Кузубов В. И., Волощенко А. Б. Математическое программирование. М.: Высшая школа, 1980, стр.211.

Ссылки[править]